Digital Library
Vol. 35, No. 1,
Jan. 2014
Papers since 2015 are available from Wiley.
(Bulletin of the Korean Chemical Society: List of Issues - Wiley Online Library)
(Bulletin of the Korean Chemical Society: List of Issues - Wiley Online Library)
Formation of DNA-Silica Complexes with Deoxyguanosine Oligonucleotides
Ji Hun Park Insung S. Choi Young Hwan Jung
Vol. 35, No. 1, pp. 21-22, Jan. 2014
10.5012/bkcs.2014.35.1.21
Vol. 35, No. 1, pp. 21-22, Jan. 2014
10.5012/bkcs.2014.35.1.21
Silicon-Tethered Intramolecular [5+2] Oxidopyrylium-Based Cycloaddition and Reductive Cleavage of Ether Bridge: Synthetic Studies Toward Arteminolides
Fabrication of Chitosan-gold Nanocomposites Combined with Optical Fiber as SERS Substrates to Detect Dopamine Molecules
Assembly of Gold Nanoparticles on Electrospun Polymer Nanofiber Film for SERS Applications
Li Wang Yujing Sun Jiku Wang Zhuang Li
Vol. 35, No. 1, pp. 30-34, Jan. 2014
10.5012/bkcs.2014.35.1.30
Vol. 35, No. 1, pp. 30-34, Jan. 2014
10.5012/bkcs.2014.35.1.30
Electrochemical Synthesis of Red Fluorescent Silicon Nanoparticles
Jonghoon Choi Kyobum Kim Hyung-seop Han Mintai P. Hwang Kwan Hyi Lee
Vol. 35, No. 1, pp. 35-38, Jan. 2014
10.5012/bkcs.2014.35.1.35
Vol. 35, No. 1, pp. 35-38, Jan. 2014
10.5012/bkcs.2014.35.1.35
Antimicrobial Properties of Glass Surface Functionalized with Silver-doped Terminal-alkynyl Monolayers
Muhammad Nazir Tahir Daham Jeong Hwanhee Kim Jae-Hyuk Yu Eunae Cho
Seunho Jung
Vol. 35, No. 1, pp. 39-44, Jan. 2014
10.5012/bkcs.2014.35.1.39
Seunho Jung
Vol. 35, No. 1, pp. 39-44, Jan. 2014
10.5012/bkcs.2014.35.1.39
On-Channel Micro-Solid Phase Extraction Bed Based on 1-Dodecanethiol Self-Assembly on Gold-Deposited Colloidal Silica Packing on a Capillary Electrochromatographic Microchip
Product-Rate Correlations for Solvolyses of 2,4-Dimethoxybenzenesulfonyl Chloride
Soo Ryeon Kim Hojune Choi Jong Keun Park In Sun Koo Han Joong Koh
Vol. 35, No. 1, pp. 51-56, Jan. 2014
10.5012/bkcs.2014.35.1.51
Vol. 35, No. 1, pp. 51-56, Jan. 2014
10.5012/bkcs.2014.35.1.51
Effect of Activation Temperature on CO2 Capture Behaviors of Resorcinol-based Carbon Aerogels
Cheol-Whan Moon Youngjoo Kim Seung-Soon Im Soo-Jin Park
Vol. 35, No. 1, pp. 57-61, Jan. 2014
10.5012/bkcs.2014.35.1.57
Vol. 35, No. 1, pp. 57-61, Jan. 2014
10.5012/bkcs.2014.35.1.57
Molecular Modeling and Docking Studies of 3'-Hydroxy-N-methylcoclaurine 4'-O-Methyltransferase from Coptis chinensis
Qiankun Zhu Mengli Zhu Gaotao Fan Jiaxin Zou Peichun Feng
Zubi Liu Wanjun Wang
Vol. 35, No. 1, pp. 62-68, Jan. 2014
10.5012/bkcs.2014.35.1.62
Zubi Liu Wanjun Wang
Vol. 35, No. 1, pp. 62-68, Jan. 2014
10.5012/bkcs.2014.35.1.62
Characterization of Fly Ash by Field-Flow Fractionation Combined with SPLITT Fractionation and Compositional Analysis by ICP-OES
Dong Young Kang Chul Hun Eum Seungho Lee
Vol. 35, No. 1, pp. 69-75, Jan. 2014
10.5012/bkcs.2014.35.1.69
Vol. 35, No. 1, pp. 69-75, Jan. 2014
10.5012/bkcs.2014.35.1.69
Influence of Inorganic Ions and pH on the Photodegradation of 1-Methylimidazole-2- thiol with TiO2 Photocatalyst Based on Magnetic Multi-walled Carbon Nanotubes
Yinhua Jiang Yingying Luo Ziyang Lu Pengwei Huo Weinan Xing
Ming He Jiqin Li Yongsheng Yan
Vol. 35, No. 1, pp. 76-82, Jan. 2014
10.5012/bkcs.2014.35.1.76
Ming He Jiqin Li Yongsheng Yan
Vol. 35, No. 1, pp. 76-82, Jan. 2014
10.5012/bkcs.2014.35.1.76
Protein-Protein Interaction between Poly(A) Polymerase and Cyclophilin A in Chemotactic Cells
Hyun-Sook Choi Hana Kim Changgook Lee Youngmi Kim Younghoon Lee
Vol. 35, No. 1, pp. 83-86, Jan. 2014
10.5012/bkcs.2014.35.1.83
Vol. 35, No. 1, pp. 83-86, Jan. 2014
10.5012/bkcs.2014.35.1.83
Gadolinium Complex of 1,4,7,10-Tetraazacyclododecane-N,N',N'',N'''-1,4,7-trisacetic Acid (DO3A) Conjugate of Tranexamates: A Quest for a Liver-specific Magnetic Resonance Imaging Contrast Agent
Ki-Soo Nam Hyun-Jeong Jeong Hee-Kyung Kim Garam Choi Kyung-Jin Suh
Yongmin Chang Tae-Jeong Kim
Vol. 35, No. 1, pp. 87-92, Jan. 2014
10.5012/bkcs.2014.35.1.87
Yongmin Chang Tae-Jeong Kim
Vol. 35, No. 1, pp. 87-92, Jan. 2014
10.5012/bkcs.2014.35.1.87
Kinetic Study on Nucleophilic Substitution Reactions of 4-Nitrophenyl X-Substituted- 2-Methylbenzoates with Cyclic Secondary Amines in Acetonitrile: Reaction Mechanism and Failure of Reactivity-Selectivity Principle
Organocatalytic Asymmetric Michael Addition of 1,3-Cyclohexanedione to Benzylidenemalonitriles
Preparation and Characterization of Sisal Fiber-based Activated Carbon by Chemical Activation with Zinc Chloride
Xincheng Lu Jianchun Jiang Kang Sun Xinping Xie
Vol. 35, No. 1, pp. 103-110, Jan. 2014
10.5012/bkcs.2014.35.1.103
Vol. 35, No. 1, pp. 103-110, Jan. 2014
10.5012/bkcs.2014.35.1.103
Kinetics and Mechanism of Electron Transfer Reaction: Oxidation of Sulfanilic Acid by N-Chloro-p-Toluene Sulfonamide in Acid Perchlorate Medium
Riya Sailani Meneka Bhasin C. L. Khandelwal P. D. Sharma
Vol. 35, No. 1, pp. 111-116, Jan. 2014
10.5012/bkcs.2014.35.1.111
Vol. 35, No. 1, pp. 111-116, Jan. 2014
10.5012/bkcs.2014.35.1.111
Chemistry Study on Protective Effect against ·OH-induced DNA Damage and Antioxidant Mechanism of Cortex Magnoliae Officinalis
Xican Li Qian Fang Jing Lin Zhengpeng Yuan Lu Han
Yaoxiang Gao
Vol. 35, No. 1, pp. 117-122, Jan. 2014
10.5012/bkcs.2014.35.1.117
Yaoxiang Gao
Vol. 35, No. 1, pp. 117-122, Jan. 2014
10.5012/bkcs.2014.35.1.117
Effects of Ag Nanoparticle Flow Rates on the Progress of the Cell Cycle Under Continuously Flowing “Dynamic” Exposure Conditions
Cap-Modified Hydroxamate Analogues as Histone Deacetylases Inhibitors and Antitumor Agents
Qing-Wei Zhang Juan Feng Jian-Qi Li
Vol. 35, No. 1, pp. 129-134, Jan. 2014
10.5012/bkcs.2014.35.1.129
Vol. 35, No. 1, pp. 129-134, Jan. 2014
10.5012/bkcs.2014.35.1.129
Induced Eye-detectable Blue Emission of Triazolyl Derivatives via Selective Photodecomposition of Chloroform under UV Irradiation at 365 nm
Byoung-Kwan Lee Jun Hee Yoon Sangwoon Yoon Byoung-Ki Cho
Vol. 35, No. 1, pp. 135-140, Jan. 2014
10.5012/bkcs.2014.35.1.135
Vol. 35, No. 1, pp. 135-140, Jan. 2014
10.5012/bkcs.2014.35.1.135
Hydrogenation of Ethyl Acetate to Ethanol over Bimetallic Cu-Zn/SiO2 Catalysts Prepared by Means of Coprecipitation
Copper Electrode Material using Copper Formate-Bicarbonate Complex for Printed Electronics
Jaeeun Hwang Sinhee Kim Kevin Ray Ayag Hongdoo Kim
Vol. 35, No. 1, pp. 147-150, Jan. 2014
10.5012/bkcs.2014.35.1.147
Vol. 35, No. 1, pp. 147-150, Jan. 2014
10.5012/bkcs.2014.35.1.147
Coriolis Coupling Influence on the H+LiH Reaction
Hongsheng Zhai Wenliang Li Yufang Liu
Vol. 35, No. 1, pp. 151-157, Jan. 2014
10.5012/bkcs.2014.35.1.151
Vol. 35, No. 1, pp. 151-157, Jan. 2014
10.5012/bkcs.2014.35.1.151
Substance P and Neuropeptide Y as Potential Biomarkers for Diagnosis of Acute Myocardial Infarction in Korean Patients
Hyojeong Han Hong Seog Seo Byung Hwa Jung Kyoungja Woo Young Sook Yoo
Min-Jung Kang
Vol. 35, No. 1, pp. 158-164, Jan. 2014
10.5012/bkcs.2014.35.1.158
Min-Jung Kang
Vol. 35, No. 1, pp. 158-164, Jan. 2014
10.5012/bkcs.2014.35.1.158
Characterization of Basic Nitrogen-Containing Compounds in the Products of Lube Base Oil Processing by Electrospray Ionization Fourier Transform Ion Cyclotron Resonance Mass Spectrometry
Xiaohui Li Jianhua Zhu Bencheng Wu
Vol. 35, No. 1, pp. 165-172, Jan. 2014
10.5012/bkcs.2014.35.1.165
Vol. 35, No. 1, pp. 165-172, Jan. 2014
10.5012/bkcs.2014.35.1.165
Synthesis of Hollow Silica by Stöber Method with Double Polymers as Templates
Anh-Thu Nguyen Chang Woo Park Sang Hern Kim
Vol. 35, No. 1, pp. 173-176, Jan. 2014
10.5012/bkcs.2014.35.1.173
Vol. 35, No. 1, pp. 173-176, Jan. 2014
10.5012/bkcs.2014.35.1.173
Nucleophilic Substitution Reactions of Y-Substituted-Phenyl Benzoates with Potassium Ethoxide in Anhydrous Ethanol: Reaction Mechanism and Role of K+ Ion
Synthesis, Structures and Properties of Three Metal-organic Frameworks Based on 3-(4-((1H-imidazol-1-yl)methyl)phenyl)acrylic Acid
Peng Liang Tian-Tian Ren Wei-Man Tian Wen-Jia Xu Gang-Hong Pan
Xian-Hong Yin
Vol. 35, No. 1, pp. 182-188, Jan. 2014
10.5012/bkcs.2014.35.1.182
Xian-Hong Yin
Vol. 35, No. 1, pp. 182-188, Jan. 2014
10.5012/bkcs.2014.35.1.182
White Light Emission from a Colloidal Mixture Containing ZnS Based Nanocrystals: ZnS, ZnS:Cu and ZnS:Mn
Determination of Free Amino Acids in Isatidis Radix By HILIC-UPLC-MS/MS
Yilin Pan Jin Li Xiang Li Jianwei Chen Ganggang Bai
Vol. 35, No. 1, pp. 197-203, Jan. 2014
10.5012/bkcs.2014.35.1.197
Vol. 35, No. 1, pp. 197-203, Jan. 2014
10.5012/bkcs.2014.35.1.197
Simultaneous Electrochemical Determination of Hydroquinone, Catechol and Resorcinol at Nitrogen Doped Porous Carbon Nanopolyhedrons-multiwall Carbon Nanotubes Hybrid Materials Modified Glassy Carbon Electrode
Wei Liu Liang Wu Xiaohua Zhang Jinhua Chen
Vol. 35, No. 1, pp. 204-210, Jan. 2014
10.5012/bkcs.2014.35.1.204
Vol. 35, No. 1, pp. 204-210, Jan. 2014
10.5012/bkcs.2014.35.1.204
Fabrication of In-needle Microextraction Device Using Nichrome Wire Coated with Poly(ethylene glycol) and Poly(dimethylsiloxane) for Determination of Volatile Compounds in Lavender Oils
A Series of Transition-metal Coordination Complexes Assembled from 3-Nitrophthalic Acid and Thiabendazole: Synthesis, Structure and Properties
Wen-Jia Xu Qi-Jun Xue Peng Liang Ling-Yu Zhang Yan-Feng Huang
Yu Feng
Vol. 35, No. 1, pp. 218-224, Jan. 2014
10.5012/bkcs.2014.35.1.218
Yu Feng
Vol. 35, No. 1, pp. 218-224, Jan. 2014
10.5012/bkcs.2014.35.1.218
Kinetic Study on Nucleophilic Substitution Reactions of 4-Nitrophenyl X-Substituted- Benzoates with Potassium Ethoxide: Reaction Mechanism and Role of K+ Ion
Song-I Kim Min-Young Kim Ik-Hwan Um
Vol. 35, No. 1, pp. 225-230, Jan. 2014
10.5012/bkcs.2014.35.1.225
Vol. 35, No. 1, pp. 225-230, Jan. 2014
10.5012/bkcs.2014.35.1.225
Rh-Ni and Rh-Co Catalysts for Autothermal Reforming of Gasoline
Yeon-Gyu Jung Dae Hyung Lee Yongmin Kim Jin Hee Lee
Suk-Woo Nam Dae-Ki Choi Chang Won Yoon
Vol. 35, No. 1, pp. 231-235, Jan. 2014
10.5012/bkcs.2014.35.1.231
Suk-Woo Nam Dae-Ki Choi Chang Won Yoon
Vol. 35, No. 1, pp. 231-235, Jan. 2014
10.5012/bkcs.2014.35.1.231
Isospecific Propylene Polymerization Behavior of Lewis Base Functionalized Unbridged Zirconocences under Bulk Conditions
Seung Woong Yoon Hwa Kyu Kim Seong Kyun Kim Taewon Kim Min Hyung Lee
Youngkyu Do
Vol. 35, No. 1, pp. 236-242, Jan. 2014
10.5012/bkcs.2014.35.1.236
Youngkyu Do
Vol. 35, No. 1, pp. 236-242, Jan. 2014
10.5012/bkcs.2014.35.1.236
The Effect of Co2+-Ion Exchange Time into Zeolite Y (FAU, Si/Al = 1.56): Their Single-Crystal Structures
Sung Man Seo Hu Sik Kim Dong Yong Chung Jeong Min Suh Woo Taik Lim
Vol. 35, No. 1, pp. 243-249, Jan. 2014
10.5012/bkcs.2014.35.1.243
Vol. 35, No. 1, pp. 243-249, Jan. 2014
10.5012/bkcs.2014.35.1.243
Darapladib Binds to Lipoprotein-Associated Phospholipase A2 with Meaningful Interactions
Kyoung-Rok Do Chul Kim Byungha Chang Seong Soo A. An Jae-Min Shin
Sang-Jun Yea Mi-Young Song Kyoung Tai No Jee-Young Lee
Vol. 35, No. 1, pp. 250-252, Jan. 2014
10.5012/bkcs.2014.35.1.250
Sang-Jun Yea Mi-Young Song Kyoung Tai No Jee-Young Lee
Vol. 35, No. 1, pp. 250-252, Jan. 2014
10.5012/bkcs.2014.35.1.250
Theoretical Investigation of Edge-modified Zigzag Graphene Nanoribbons by Scandium Metal with Pyridine-like Defects: A Potential Hydrogen Storage Material
Ordered Mesoporous Carbon-MoO2 Nanocomposite as High Performance Anode Material in Lithium Ion Batteries
Yuanyuan Zhou Ilbok Lee Chul Wee Lee Han Soo Park Hyungbin Son
Songhun Yoon
Vol. 35, No. 1, pp. 257-260, Jan. 2014
10.5012/bkcs.2014.35.1.257
Songhun Yoon
Vol. 35, No. 1, pp. 257-260, Jan. 2014
10.5012/bkcs.2014.35.1.257
A Concise Li/liq. NH3 Mediated Synthesis of (4E,10Z)-Tetradeca-4,10-dienyl Acetate: The Major Sex Pheromone of Apple Leafminer Moth, Phyllonorycter ringoniella
B. Prem kumar B. V. D. Vijaykumar S. J. Harshavardhan Hae-Dong Jung Yong-Sheng Xie
Kiwan Jang Dong HaLee Yong-Jin Yoon Dong-Soo Shin
Vol. 35, No. 1, pp. 261-264, Jan. 2014
10.5012/bkcs.2014.35.1.261
Kiwan Jang Dong HaLee Yong-Jin Yoon Dong-Soo Shin
Vol. 35, No. 1, pp. 261-264, Jan. 2014
10.5012/bkcs.2014.35.1.261
Dynamic Kinetic Resolution of L-Threonine-derived α-Bromo Esters for Asymmetric Synthesis of α-Amino Esters
Yelim Kim Kon Ji Park Myung-su Lee Hyejin Ryu Yong Sun Park
Vol. 35, No. 1, pp. 265-268, Jan. 2014
10.5012/bkcs.2014.35.1.265
Vol. 35, No. 1, pp. 265-268, Jan. 2014
10.5012/bkcs.2014.35.1.265
Synthesis and Characterization of Compartmental Macrocyclic Binuclear Copper(II) Complex with Bidentate Perchlorato Ligand
Jong Chul Byun Dae Hun Mun Ki-Min Park
Vol. 35, No. 1, pp. 269-272, Jan. 2014
10.5012/bkcs.2014.35.1.269
Vol. 35, No. 1, pp. 269-272, Jan. 2014
10.5012/bkcs.2014.35.1.269
Preparation and Characterization of Anion-Dependent Octahedral Nickel(II) Geometric Isomers
Ah Rim Jeong Jong Won Shin Bong Gon Kim Kil Sik Min
Vol. 35, No. 1, pp. 273-276, Jan. 2014
10.5012/bkcs.2014.35.1.273
Vol. 35, No. 1, pp. 273-276, Jan. 2014
10.5012/bkcs.2014.35.1.273
A New Anthracene Based Fluorescent Turn-On Sensor for Fe3+
Kyoung-Lyong An Sang-Oh Lee Sun Duk Koh Seung-Rim Shin Jong-Il Shin
Soo-Youl Park Young-A Son Koon Ha Park Kun Jun
Vol. 35, No. 1, pp. 277-279, Jan. 2014
10.5012/bkcs.2014.35.1.277
Soo-Youl Park Young-A Son Koon Ha Park Kun Jun
Vol. 35, No. 1, pp. 277-279, Jan. 2014
10.5012/bkcs.2014.35.1.277
A Study on the Selectivity of Arylzinc Reagents in Cross-coupling Reactions with Chemically Equivalent and Pseudo-equivalent Dibromopyridines
A Porous Aromatic Framework Functionalized with Nitro Groups and Its Carbon Dioxide Adsorption
Eunyoung Kang Sang Beom Choi Nakeun Ko Jin Kuk Yang
Vol. 35, No. 1, pp. 283-285, Jan. 2014
10.5012/bkcs.2014.35.1.283
Vol. 35, No. 1, pp. 283-285, Jan. 2014
10.5012/bkcs.2014.35.1.283
Temperature-dependent Kinetics Study for Hydrogen Exchange of Type I Antifreeze Protein from Winter Flounder
Hee-Eun Kim Minjee Jeong Ae-Ree Lee Chin-Ju Park Joon-Hwa Lee
Vol. 35, No. 1, pp. 286-288, Jan. 2014
10.5012/bkcs.2014.35.1.286
Vol. 35, No. 1, pp. 286-288, Jan. 2014
10.5012/bkcs.2014.35.1.286
Isostructural Heteronuclear (K+/M2+: M = Ni, Co, and Zn) One-Dimensional Coordination Polymers of Thiacalix[4]arene Tetraacetate
Ja-Yeon Kim Kihwan Kim Ki-Min Park Shim Sung Lee
Vol. 35, No. 1, pp. 289-292, Jan. 2014
10.5012/bkcs.2014.35.1.289
Vol. 35, No. 1, pp. 289-292, Jan. 2014
10.5012/bkcs.2014.35.1.289
Porous-structured Conductive Polypyrrole Cell Scaffolds
Dual-specificity Phosphatase 8 Promotes the Degradation of the Polyglutamine Protein Ataxin-1
A New 3D Metal-organic Framework Based on the Four-connecting Cobalt(II) Node Showing Unusual dmp Topology with 3-Fold Interpenetration
Li Qin Xiao-hua Zheng Pei-juan Ma Guang-hua Cui
Vol. 35, No. 1, pp. 301-304, Jan. 2014
10.5012/bkcs.2014.35.1.301
Vol. 35, No. 1, pp. 301-304, Jan. 2014
10.5012/bkcs.2014.35.1.301
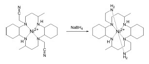
Reduction of N-Cyanomethyl Groups on a Macrocyclic Nickel(II) Complex Using Sodium Borohydride: Synthesis of a Complex Bearing Two N-(2-Aminoethyl) Pendant Arms
Hyunja Kim Ji Young Lee Shin-Geol Kang Chee-Hun Kwak
Vol. 35, No. 1, pp. 305-308, Jan. 2014
10.5012/bkcs.2014.35.1.305
Vol. 35, No. 1, pp. 305-308, Jan. 2014
10.5012/bkcs.2014.35.1.305
Microwave Assisted Synthesis of Cu2O Crystals with Morphological Evolution from Octapod to Octahedron
Inhibitory Effects of N-Amido-3,3-difluoropyrrolidin-2-ones on LPS-induced Nitric Oxide Production in RAW 264.7 Macrophages
Quynh Pham Bao Nguyen Bo Mi Kim Mi-Seon Song Kwon-Ha Yoon Kyu-Yun Chai
Vol. 35, No. 1, pp. 313-315, Jan. 2014
10.5012/bkcs.2014.35.1.313
Vol. 35, No. 1, pp. 313-315, Jan. 2014
10.5012/bkcs.2014.35.1.313
Rat Intestinal Sucrase and -Glucosidase Inhibitory Activities of Isocoumarin and Flavonoids from the Zanthoxylum schinifolium Stems
Wei Li Ya Nan Sun Xi Tao Yan Seo Young Yang Sung-Hoon Jo
Young-In Kwon Young Ho Kim
Vol. 35, No. 1, pp. 316-318, Jan. 2014
10.5012/bkcs.2014.35.1.316
Young-In Kwon Young Ho Kim
Vol. 35, No. 1, pp. 316-318, Jan. 2014
10.5012/bkcs.2014.35.1.316
Anticancer Activities of Cdc25 Phosphatase Inhibitors in the Proliferation of Human Lung Cancer Cells
Ji Yea Kim Eun Joo Lee Chun Jeih Ryu Hwangseo Park
Vol. 35, No. 1, pp. 319-321, Jan. 2014
10.5012/bkcs.2014.35.1.319
Vol. 35, No. 1, pp. 319-321, Jan. 2014
10.5012/bkcs.2014.35.1.319