Digital Library
Vol. 33, No. 12,
Dec. 2012
Papers since 2015 are available from Wiley.
(Bulletin of the Korean Chemical Society: List of Issues - Wiley Online Library)
(Bulletin of the Korean Chemical Society: List of Issues - Wiley Online Library)
Peptoid-based Positional Scanning Derivatives: Revealing the Optimum Residue Required for Ice Recrystallization Inhibition Activity for Every Position in the AFGPs
Mija Ahn Ravichandran N. Murugan Song Yub Shin Hak Jun Kim Jeong Kyu Bang
Vol. 33, No. 12, pp. 3931-3932, Dec. 2012
10.5012/bkcs.2012.33.12.3931
Vol. 33, No. 12, pp. 3931-3932, Dec. 2012
10.5012/bkcs.2012.33.12.3931
Sequential Bicyclization to the Skeleton of Lennoxamine and Chilenine Using Pd Catalyst
Morphology and Thickness Control of Thin Copper Films Prepared by Electrochemical Deposition onto Mo-sputtered Stainless Steel Substrates
Mi Kyung Oh Su Byeong Chae Sang Min Lee Jeom Sik Yang Chi Woo Lee
Vol. 33, No. 12, pp. 3935-3936, Dec. 2012
10.5012/bkcs.2012.33.12.3935
Vol. 33, No. 12, pp. 3935-3936, Dec. 2012
10.5012/bkcs.2012.33.12.3935
Surface Treatment of Polyimide Film by Pulsed UV Laser Ablation and Its Effect on the Electrochemical Characteristics
Kyung-Tae Kim Jae-Yong Oh Bo-Sung Shin Deog-Su Park
Vol. 33, No. 12, pp. 3937-3938, Dec. 2012
10.5012/bkcs.2012.33.12.3937
Vol. 33, No. 12, pp. 3937-3938, Dec. 2012
10.5012/bkcs.2012.33.12.3937
Absolute Hydration Free Energies of Ions Under Periodic Boundary Conditions
Non-unique Lennard-Jones Parameter Problem with a Monatomic Cation
Synthesis and Biological Activities of Some New 3,6-Disubstituted 1,2,4-Triazolo[3,4-b]1,3,4-thiadiazole Derivatives
Muhammad Rafiq Muhammad Saleem Muhammad Hanif Muhammad Rizwan Maqsood Nasim Hasan Rama
Ki-Hwan Lee Sung-Yum Seo
Vol. 33, No. 12, pp. 3943-3949, Dec. 2012
10.5012/bkcs.2012.33.12.3943
Ki-Hwan Lee Sung-Yum Seo
Vol. 33, No. 12, pp. 3943-3949, Dec. 2012
10.5012/bkcs.2012.33.12.3943
Biocompatibility of Nanoscale Hydroxyapatite-embedded Chitosan Films
Fangfang Sun Kwangnak Koh Su-Chak Ryu Dong-Wook Han Jaebeom Lee
Vol. 33, No. 12, pp. 3950-3956, Dec. 2012
10.5012/bkcs.2012.33.12.3950
Vol. 33, No. 12, pp. 3950-3956, Dec. 2012
10.5012/bkcs.2012.33.12.3950
Impact of Amino-Acid Coating on the Synthesis and Characteristics of Iron-Oxide Nanoparticles (IONs)
Alireza Ebrahiminezhad Younes Ghasemi Sara Rasoul-Amini Jaleh Barar Soodabeh Davaran
Vol. 33, No. 12, pp. 3957-3962, Dec. 2012
10.5012/bkcs.2012.33.12.3957
Vol. 33, No. 12, pp. 3957-3962, Dec. 2012
10.5012/bkcs.2012.33.12.3957
Rapid Determination of Volatile Organic Compounds in Human Whole Blood Using Static Headspace Sampling with Gas Chromatography and Mass Spectrometry
Ji-Young Lee Seungki Kim Jong-Tae Lee Jong-Ho Choi Jeongae Lee
Heesoo Pyo
Vol. 33, No. 12, pp. 3963-3970, Dec. 2012
10.5012/bkcs.2012.33.12.3963
Heesoo Pyo
Vol. 33, No. 12, pp. 3963-3970, Dec. 2012
10.5012/bkcs.2012.33.12.3963
Determination of Fluorescent Whitening Agents in Paper Materials by Ion-Pair Reversed-Phase High-Performance Liquid Chromatography
Jeong Soo Kim Do Hwan Kim Keon Kim
Vol. 33, No. 12, pp. 3971-3976, Dec. 2012
10.5012/bkcs.2012.33.12.3971
Vol. 33, No. 12, pp. 3971-3976, Dec. 2012
10.5012/bkcs.2012.33.12.3971
Morphology Controlled Synthesis of Nanostructured Bi2Te3
Hee Jin Kim Mi-Kyung Han Ha-young Kim Wooyoung Lee Sung-Jin Kim
Vol. 33, No. 12, pp. 3977-3980, Dec. 2012
10.5012/bkcs.2012.33.12.3977
Vol. 33, No. 12, pp. 3977-3980, Dec. 2012
10.5012/bkcs.2012.33.12.3977
Effect of Microwave Irradiation on Morphology and Size of Anatase Nano Powder: Efficient Photodegradation of 4-Nitrophenol by W-doped Titania
Abdollah Fallah Shojaei Mohammad Hassan Loghmani
Vol. 33, No. 12, pp. 3981-3986, Dec. 2012
10.5012/bkcs.2012.33.12.3981
Vol. 33, No. 12, pp. 3981-3986, Dec. 2012
10.5012/bkcs.2012.33.12.3981
Preparation of Highly Stabilized Silver Nanopowders by the Thermal Reduction and Their Properties
Kyoung-Young Kim Myoung-Seon Gong Chan-Kyo Park
Vol. 33, No. 12, pp. 3987-3992, Dec. 2012
10.5012/bkcs.2012.33.12.3987
Vol. 33, No. 12, pp. 3987-3992, Dec. 2012
10.5012/bkcs.2012.33.12.3987
Supercapacitive Properties of Co-Ni Mixed Oxide Electrode Adopting the Nickel Foam as a Current Collector
Hyeon Woo Cho Ji Hyun Nam Jeong Ho Park Kwang Man Kim Jang Myoun Ko
Vol. 33, No. 12, pp. 3993-3997, Dec. 2012
10.5012/bkcs.2012.33.12.3993
Vol. 33, No. 12, pp. 3993-3997, Dec. 2012
10.5012/bkcs.2012.33.12.3993
Simple Analysis for Interaction between Nanoparticles and Fluorescence Vesicle as a Biomimetic Cell for Toxicological Studies
Preparation of Copper Nanoparticles and Catalytic Properties for the Reduction of Aromatic Nitro Compounds
Zhongyu Duan Guoli Ma Wenjun Zhang
Vol. 33, No. 12, pp. 4003-4006, Dec. 2012
10.5012/bkcs.2012.33.12.4003
Vol. 33, No. 12, pp. 4003-4006, Dec. 2012
10.5012/bkcs.2012.33.12.4003
Synthesis and Conformation of Novel 4'-Fluorinated 5'-Deoxythreosyl Phosphonic Acid Nucleosides as Antiviral Agents
Lien Kang Eunae Kim Eun Joo Choi Jin Cheol Yoo Wonjae Lee
Joon Hee Hong
Vol. 33, No. 12, pp. 4007-4014, Dec. 2012
10.5012/bkcs.2012.33.12.4007
Joon Hee Hong
Vol. 33, No. 12, pp. 4007-4014, Dec. 2012
10.5012/bkcs.2012.33.12.4007
Surface-functionalized Hexagonal Mesoporous Silica Supported 5-(4-Carboxyphenyl)-10,15,20-triphenyl Porphyrin Manganese(III) Chloride and Their Catalytic Activity
Wei-jie Zhang Ping-ping Jiang Ping-bo Zhang Jia-wei Zheng Haiyang Li
Vol. 33, No. 12, pp. 4015-4022, Dec. 2012
10.5012/bkcs.2012.33.12.4015
Vol. 33, No. 12, pp. 4015-4022, Dec. 2012
10.5012/bkcs.2012.33.12.4015
Microfluidic Image Cytometry (μFIC) Assessments of Silver Nanoparticle Cytotoxicity
Butadiene Polymerization Catalyzed by Tri(aryloxo)aluminum Adduct of Cobalt Acetate
Ji Hae Park Ahreum Kim Sung Hae Jun Gwanghoon Kwag Ka Hyun Park
Junseong Lee Bun Yeoul Lee
Vol. 33, No. 12, pp. 4028-4034, Dec. 2012
10.5012/bkcs.2012.33.12.4028
Junseong Lee Bun Yeoul Lee
Vol. 33, No. 12, pp. 4028-4034, Dec. 2012
10.5012/bkcs.2012.33.12.4028
Controlled Ondansetron Release Based on Hydroxyethyl Starch Hydroxyethyl Methacrylate
Muhammad Nazir Tahir Ahmad Adnan Eunae Cho Seunho Jung
Vol. 33, No. 12, pp. 4035-4040, Dec. 2012
10.5012/bkcs.2012.33.12.4035
Vol. 33, No. 12, pp. 4035-4040, Dec. 2012
10.5012/bkcs.2012.33.12.4035
Tracing Metabolite Footsteps of Escherichia coli Along the Time Course of Recombinant Protein Expression by Two-Dimensional NMR Spectroscopy
Young Kee Chae Seol Hyun Kim James J. Ellinger John L. Markley
Vol. 33, No. 12, pp. 4041-4046, Dec. 2012
10.5012/bkcs.2012.33.12.4041
Vol. 33, No. 12, pp. 4041-4046, Dec. 2012
10.5012/bkcs.2012.33.12.4041
A New and Facile Protocol for the Synthesis of Dithiocarbamate-linked 3,4-Dihydro-2H-pyran Using N-Halo Catalysts Under Mild Conditions Reaction
Ramin Ghorbani-Vaghei Mostafa Amiri Hojat Veisi
Vol. 33, No. 12, pp. 4047-4051, Dec. 2012
10.5012/bkcs.2012.33.12.4047
Vol. 33, No. 12, pp. 4047-4051, Dec. 2012
10.5012/bkcs.2012.33.12.4047
The Synergistic Effect of Nitrogen and Ni2O3 over TiO2 Photocatalyst in the Degradation of 2,4,6-Trichlorophenol under Visible Light
Shaozheng Hu Fayun Li Zhiping Fan
Vol. 33, No. 12, pp. 4052-4058, Dec. 2012
10.5012/bkcs.2012.33.12.4052
Vol. 33, No. 12, pp. 4052-4058, Dec. 2012
10.5012/bkcs.2012.33.12.4052
Effect of Conductive Additives on the Structural and Electrochemical Properties of Li4Ti5O12Spinel
Jae-Hwan Park Seongsu Lee Sung-Soo Kim Jong-Huy Kim
Vol. 33, No. 12, pp. 4059-4062, Dec. 2012
10.5012/bkcs.2012.33.12.4059
Vol. 33, No. 12, pp. 4059-4062, Dec. 2012
10.5012/bkcs.2012.33.12.4059
Influence of Nanoporous Oxide Substrate on the Performance of Photoelectrode in Semiconductor-Sensitized Solar Cells
Synthesis, Structures, and Catalytic Properties of Ionic Metallacyclodimeric Palladium(II) Complexes
Sung Min Kim Kyung Hwan Park Haeri Lee So Yun Moon Ok-Sang Jung
Vol. 33, No. 12, pp. 4069-4073, Dec. 2012
10.5012/bkcs.2012.33.12.4069
Vol. 33, No. 12, pp. 4069-4073, Dec. 2012
10.5012/bkcs.2012.33.12.4069
Mechanism Studies of Substituted Triazol-1-yl-pyrimidine Derivatives Inhibition on Mycobacterium tuberculosis Acetohydroxyacid Synthase
Pham Ngoc Chien In-Pil Jung Katta Venugopal Reddy Moon-Young Yoon
Vol. 33, No. 12, pp. 4074-4078, Dec. 2012
10.5012/bkcs.2012.33.12.4074
Vol. 33, No. 12, pp. 4074-4078, Dec. 2012
10.5012/bkcs.2012.33.12.4074
Ab Initio Study of Mechanism of Forming Spiro-Heterocyclic Ring Compound Involving Si and Ge from Dichlorosilylene Germylidene (Cl2Si=Ge:) and Acetone
Dongting Liu Hua Ji Xiuhui Lu
Vol. 33, No. 12, pp. 4079-4083, Dec. 2012
10.5012/bkcs.2012.33.12.4079
Vol. 33, No. 12, pp. 4079-4083, Dec. 2012
10.5012/bkcs.2012.33.12.4079
Substituent Effect on the Structure and Biological Property of 99mTc-Labeled Diphosphonates: Theoretical Studies
Ling Qiu Jian-Guo Lin Xue-Dong Gong Wen Cheng Shi-Neng Luo
Vol. 33, No. 12, pp. 4084-4092, Dec. 2012
10.5012/bkcs.2012.33.12.4084
Vol. 33, No. 12, pp. 4084-4092, Dec. 2012
10.5012/bkcs.2012.33.12.4084
Improvement in Long-Term Stability and Photovoltaic Performance of UV Cured Resin Polymer Gel Electrolyte for Dye-Sensitized Solar Cell
Geun Woo Park Chul Gyun Hwang Jae Won Jung Young Mee Jung
Vol. 33, No. 12, pp. 4093-4097, Dec. 2012
10.5012/bkcs.2012.33.12.4093
Vol. 33, No. 12, pp. 4093-4097, Dec. 2012
10.5012/bkcs.2012.33.12.4093
Loss of HCN from the Pyrimidine Molecular Ion: A Computational Study
Min Kyoung Yim Sun Hwa Jung Myung Soo Kim Joong Chul Choe
Vol. 33, No. 12, pp. 4098-4102, Dec. 2012
10.5012/bkcs.2012.33.12.4098
Vol. 33, No. 12, pp. 4098-4102, Dec. 2012
10.5012/bkcs.2012.33.12.4098
Synthesis of Diblock Codendrimer by Double Click Chemistry
Jae Wook Lee Seung Choul Han Won Ho Ji Sung-Ho Jin Ji Hyeon Kim
Vol. 33, No. 12, pp. 4103-4108, Dec. 2012
10.5012/bkcs.2012.33.12.4103
Vol. 33, No. 12, pp. 4103-4108, Dec. 2012
10.5012/bkcs.2012.33.12.4103
An Efficient Solid-phase Parallel Synthesis of 2-Amino and 2-Amidobenzo[d]oxazole Derivatives via Cyclization Reactions of 2-Hydroxyphenylthiourea Resin
Se-Lin Jung Seul-Gi Kim Gee-Hyung Lee Young-Dae Gong
Vol. 33, No. 12, pp. 4109-4116, Dec. 2012
10.5012/bkcs.2012.33.12.4109
Vol. 33, No. 12, pp. 4109-4116, Dec. 2012
10.5012/bkcs.2012.33.12.4109
Rate and Product Studies on the Solvolyses of Allyl Chloroformate
The Synthesis of Cellulose-graft-poly (L-lactide) by Ring-opening Polymerization and the Study of Its Degradability
Lin Dai Shu Xiao Yue Shen Baichuan Qinshu Jing He
Vol. 33, No. 12, pp. 4122-4126, Dec. 2012
10.5012/bkcs.2012.33.12.4122
Vol. 33, No. 12, pp. 4122-4126, Dec. 2012
10.5012/bkcs.2012.33.12.4122
Very Efficient and Rapid Catalyst-free One-pot Three Component Synthesis of 2,5-Dihydro-5-imino-2-methylfuran-3,4-dicarboxylate Derivatives Under Ultrasound Irradiation
Morteza Rouhani Ali Ramazani Sang Woo Joo Younes Hanifehpour
Vol. 33, No. 12, pp. 4127-4130, Dec. 2012
10.5012/bkcs.2012.33.12.4127
Vol. 33, No. 12, pp. 4127-4130, Dec. 2012
10.5012/bkcs.2012.33.12.4127
Bulk Coordination Polymerization of Dicyclopentadiene (DCPD) by Pd Complexes Containing β-Ketoiminate or β-Diketiminate Ligands
Eung Jun Lee Ho Sup Kim Byoung Ki Lee Woon Sung Hwang Ik Kyoung Sung
Ik Mo Lee
Vol. 33, No. 12, pp. 4131-4136, Dec. 2012
10.5012/bkcs.2012.33.12.4131
Ik Mo Lee
Vol. 33, No. 12, pp. 4131-4136, Dec. 2012
10.5012/bkcs.2012.33.12.4131
In-vitro and in-vivo Behaviors of Poly(glycolide-caprolactone) Copolymer for Bioabsorbable Suture Materials
Yeon-Chun Yoo Hak-Yong Kim Fan-Long Jin Soo-Jin Park
Vol. 33, No. 12, pp. 4137-4140, Dec. 2012
10.5012/bkcs.2012.33.12.4137
Vol. 33, No. 12, pp. 4137-4140, Dec. 2012
10.5012/bkcs.2012.33.12.4137
The Influence of Temperature, Ultrasonication and Chiral Mobile Phase Additives on Chiral Separation; Predominant Influence of β-Cyclodextrin Chiral Mobile Phase Additive Under Ultrasonic Irradiation
Highly Sensitive Luminescence Assessment of Bile Acid Using a Balofloxacin-Europium(III) Probe in Micellar Medium
Huan Cai Fang Zhao Hailin Si Shuaishuai Zhang Chunchun Wang
Peirong Qi
Vol. 33, No. 12, pp. 4145-4149, Dec. 2012
10.5012/bkcs.2012.33.12.4145
Peirong Qi
Vol. 33, No. 12, pp. 4145-4149, Dec. 2012
10.5012/bkcs.2012.33.12.4145
Efficient and Facile Synthesis of α-Chloroenones Bearing β-Carbonates or β-Carbamates
Krishna Bahadur Somai Magar Yong Rok Lee
Vol. 33, No. 12, pp. 4150-4154, Dec. 2012
10.5012/bkcs.2012.33.12.4150
Vol. 33, No. 12, pp. 4150-4154, Dec. 2012
10.5012/bkcs.2012.33.12.4150
Effects of the Superlattices on STM Imaging of Self-organized Substituted Alkyl Chain Monolayers on a Graphite Surface
Inversion Barriers of Methylsilole and Methylgermole Monoanions
Youngshang Pak Young Chun Ko Honglae Sohn
Vol. 33, No. 12, pp. 4161-4164, Dec. 2012
10.5012/bkcs.2012.33.12.4161
Vol. 33, No. 12, pp. 4161-4164, Dec. 2012
10.5012/bkcs.2012.33.12.4161
Fluorescent Magnetic Silica Nanotubes with High Photostability Prepared by the Conventional Reverse Micro-Emulsion Method
Site-directed Mutagenesis of Cysteine Residues in Phi-class Glutathione S-transferase F3 from Oryza sativa
Hyun-Joo Jo Ju-Won Lee Jin-Seok Noh Kwang-Hoon Kong
Vol. 33, No. 12, pp. 4169-4172, Dec. 2012
10.5012/bkcs.2012.33.12.4169
Vol. 33, No. 12, pp. 4169-4172, Dec. 2012
10.5012/bkcs.2012.33.12.4169
A Comparison in Characteristics of Chemical Composition of Glass Vessels Excavated from Neungsalli Temple in Buyeo, Korea, from Baekje Period
Min Jeong Koh Hyung Tae Kang Na Young Kim Gyu Ho Kim
Vol. 33, No. 12, pp. 4173-4179, Dec. 2012
10.5012/bkcs.2012.33.12.4173
Vol. 33, No. 12, pp. 4173-4179, Dec. 2012
10.5012/bkcs.2012.33.12.4173
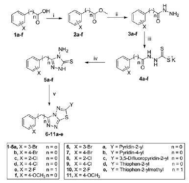
Some Pyridyl- and Thiophenyl- Substituted 1,2,4-Triazolo[3,4-b]1,3,4-thiadiazole Derivatives as Potent Antibacterial
Muhammad Rizwan Maqsood Muhammad Hanif Muhammad Rafiq Muhammad Saleem Sumera Zaib
Aftab Ahmed Khan Mazhar Iqbal Jamshed Iqbal Nasim Hasan Rama Sung-Yum Seo
Ki-Hwan Lee
Vol. 33, No. 12, pp. 4180-4184, Dec. 2012
10.5012/bkcs.2012.33.12.4180
Aftab Ahmed Khan Mazhar Iqbal Jamshed Iqbal Nasim Hasan Rama Sung-Yum Seo
Ki-Hwan Lee
Vol. 33, No. 12, pp. 4180-4184, Dec. 2012
10.5012/bkcs.2012.33.12.4180
Synthesis of Styryl-Terminated Silicon Quantum Dots: Reconsidering the Use of Methanol
An Efficient Synthesis of Benzimidazoles via Palladium-Catalyzed Amine Exchange Reaction from Trialkylamines to o-Phenylenediamine in an Aqueous Medium
Adsorption and EUV-Induced Modification of Furoxanethiols for Diverse Functionalities on Gold Surface
Hyun Seo Koo Han-Na Hwang Yoon Man Lee Joon Won Park Chan-Cuk Hwang
Kwang-Jin Hwang
Vol. 33, No. 12, pp. 4191-4193, Dec. 2012
10.5012/bkcs.2012.33.12.4191
Kwang-Jin Hwang
Vol. 33, No. 12, pp. 4191-4193, Dec. 2012
10.5012/bkcs.2012.33.12.4191
Lithium Diisobutylmorpholinoaluminum Hydride (LDBMOA) as an Effective Partial Reducing Agent for Tertiary Amides and Nitriles
A Novel Cyanide-Bridged Thulium-Nickel Heterobimetallic Polymeric Complex {(H2O)2(DMF)10Tm2[Ni(CN)4]2}[Ni(CN)4]including O-H…N Hydrogen Bond
Daeyoung Park Mina Song Sungin Ha An-Soo Kang Sang-Bong Moon
Cheol-Hwi Ryu Jang-Hoon Chung
Vol. 33, No. 12, pp. 4197-4200, Dec. 2012
10.5012/bkcs.2012.33.12.4197
Cheol-Hwi Ryu Jang-Hoon Chung
Vol. 33, No. 12, pp. 4197-4200, Dec. 2012
10.5012/bkcs.2012.33.12.4197
Roles of His101 in DNA-Binding Domain of Human Heat Shock Factor 1 under Acid pH Environment
Ming Lu Bobae Kwon Ziwei Chang Hyeon-Gyeong Park Jang-Su Park
Vol. 33, No. 12, pp. 4201-4203, Dec. 2012
10.5012/bkcs.2012.33.12.4201
Vol. 33, No. 12, pp. 4201-4203, Dec. 2012
10.5012/bkcs.2012.33.12.4201
A New Red Pigment from Chinese Dragon’s Blood, the Red Resin of Dracaena cochinchinensis
Qingan Zheng Min Xu Chongren Yang Dong Wang Haizhou Li
Hongtao Zhu Yingjun Zhang
Vol. 33, No. 12, pp. 4204-4206, Dec. 2012
10.5012/bkcs.2012.33.12.4204
Hongtao Zhu Yingjun Zhang
Vol. 33, No. 12, pp. 4204-4206, Dec. 2012
10.5012/bkcs.2012.33.12.4204
Towards Selective Inhibitors of Janus Kinase 3: Identification of a Novel Structural Variation between Janus Kinases 2 and 3
Enhanced Electrocatalytic Activity for the NADH Oxidation with Oxidatively Treated Carbon Nanotubes Incorporated on a Redox Polymer Modified Electrode
Bongsun Shin Hyosul Shin Chan Kang
Vol. 33, No. 12, pp. 4211-4214, Dec. 2012
10.5012/bkcs.2012.33.12.4211
Vol. 33, No. 12, pp. 4211-4214, Dec. 2012
10.5012/bkcs.2012.33.12.4211
Synthesis of 7,8-epi-Valtrate from (+)-Genipin
Sangtae Oh Daeho Kwon Woon-Seob Shin Jungyeob Ham Seokjoon Lee
Vol. 33, No. 12, pp. 4215-4218, Dec. 2012
10.5012/bkcs.2012.33.12.4215
Vol. 33, No. 12, pp. 4215-4218, Dec. 2012
10.5012/bkcs.2012.33.12.4215
Impedimetric Hg2+ Detection on Multilayered Reduced Graphene Oxide-Modified Electrode
Hyejin Park Jong Yun Kim Al-Monsur Jiaul Haque Sung-Yool Choi Tae-Hyun Kim
Jong-Dal Hong Kyuwon Kim
Vol. 33, No. 12, pp. 4219-4222, Dec. 2012
10.5012/bkcs.2012.33.12.4219
Jong-Dal Hong Kyuwon Kim
Vol. 33, No. 12, pp. 4219-4222, Dec. 2012
10.5012/bkcs.2012.33.12.4219
Solid Phase Asymmetric Benzylation Using 5,5-Dimethyl-2-Phenylamino-2-Oxazoline Chiral Auxiliary
Quynh Pham Bao Nguyen Taek Hyeon Kim
Vol. 33, No. 12, pp. 4223-4226, Dec. 2012
10.5012/bkcs.2012.33.12.4223
Vol. 33, No. 12, pp. 4223-4226, Dec. 2012
10.5012/bkcs.2012.33.12.4223
Isoxazolylpyrrolidinylpiperazine Ligands, a New Class for Dopamine D3 and D4 Receptor Antagonists
Yoo Na Oh Jumyung Kwak Hun Yeong Koh Sun Ho Jung
Vol. 33, No. 12, pp. 4227-4230, Dec. 2012
10.5012/bkcs.2012.33.12.4227
Vol. 33, No. 12, pp. 4227-4230, Dec. 2012
10.5012/bkcs.2012.33.12.4227
Metal-template Condensation of 1,3-Diamino-2-propanol and Formaldehyde: Synthesis, Crystal Structure, and Magnetic Properties of a New Dinuclear Copper(II) Complex
Shin-Geol Kang Yun-Taek Lee Kil Sik Min Jinkweon Kim
Vol. 33, No. 12, pp. 4231-4234, Dec. 2012
10.5012/bkcs.2012.33.12.4231
Vol. 33, No. 12, pp. 4231-4234, Dec. 2012
10.5012/bkcs.2012.33.12.4231
Studies on the Interaction between Catechin and Metal Ions
Ki-Min Bark Ji-Eun Yeom Ik-Jun Yang Ok-hyun Park Chul-Ho Park
Hyoung-Ryun Park
Vol. 33, No. 12, pp. 4235-4238, Dec. 2012
10.5012/bkcs.2012.33.12.4235
Hyoung-Ryun Park
Vol. 33, No. 12, pp. 4235-4238, Dec. 2012
10.5012/bkcs.2012.33.12.4235
A Convenient, Eco-friendly, and Efficient Method for Synthesis of 3,3'-Arylmethylene-bis-4-hydroxycoumarins “On-water”
Arpita Das Gupta Swati Samanta Rina Mondal Asok K. Mallik
Vol. 33, No. 12, pp. 4239-4242, Dec. 2012
10.5012/bkcs.2012.33.12.4239
Vol. 33, No. 12, pp. 4239-4242, Dec. 2012
10.5012/bkcs.2012.33.12.4239
The Comparison of Derivatization Methods for the Determination of Ethylene Glycol in Lubricant Oil Sample by GC/MS
Joon-Bae Lee O-Seong Kwon Jae-Hoon You Shungkun Shon Ki-Jung Paeng
Tae-Myung Sung
Vol. 33, No. 12, pp. 4243-4246, Dec. 2012
10.5012/bkcs.2012.33.12.4243
Tae-Myung Sung
Vol. 33, No. 12, pp. 4243-4246, Dec. 2012
10.5012/bkcs.2012.33.12.4243
Fabrication and Capacitance of Co3O4-Graphene Nanocomposites Electrode Prepared by Pulse Microwave-assisted Reduction Methods
Sukeun Park Soo-Jin Park Seok Kim
Vol. 33, No. 12, pp. 4247-4250, Dec. 2012
10.5012/bkcs.2012.33.12.4247
Vol. 33, No. 12, pp. 4247-4250, Dec. 2012
10.5012/bkcs.2012.33.12.4247
Synthesis, Crystal Structure, and Magnetic Properties of Polymeric Iron(III) Hexacyanide Complex Linked by Copper(II) Macrocycle
Jong Won Shin Min Ju Cha Young Hoon Lee Yang Kim Kil Sik Min
Vol. 33, No. 12, pp. 4251-4254, Dec. 2012
10.5012/bkcs.2012.33.12.4251
Vol. 33, No. 12, pp. 4251-4254, Dec. 2012
10.5012/bkcs.2012.33.12.4251
Density Functional Theoretical Study on the Acid Dissociation Constant of an Emissive Analogue of Guanine
Yong-Jae Lee Yun Hee Jang Yongseong Kim Sungu Hwang
Vol. 33, No. 12, pp. 4255-4257, Dec. 2012
10.5012/bkcs.2012.33.12.4255
Vol. 33, No. 12, pp. 4255-4257, Dec. 2012
10.5012/bkcs.2012.33.12.4255
Aerobic Oxidation of Benzylic Alcohols with Nitric Acid/Copper Bromide(II) in Ionic Liquid
Chae Mi Lim Su Jeong Ha Jong Chan Lee
Vol. 33, No. 12, pp. 4258-4260, Dec. 2012
10.5012/bkcs.2012.33.12.4258
Vol. 33, No. 12, pp. 4258-4260, Dec. 2012
10.5012/bkcs.2012.33.12.4258
Effects of a Nonionic Surfactant on the pH-Controlled Hydrothermal Synthesis of CdS Sub-micrometer Particles
Secondary Structure Analysis of an RNA Interacting with Guanine-rich Sequence
Random Forest as a Non-parametric Algorithm for Near-infrared (NIR) Spectroscopic Discrimination for Geographical Origin of Agricultural Samples
Sanguk Lee Hangseok Choi Kyungjoon Cha Mi-Kyeong Kim Jeong-Soo Kim
Chi Hee Youn Su-Heon Lee Hoeil Chung
Vol. 33, No. 12, pp. 4267-4270, Dec. 2012
10.5012/bkcs.2012.33.12.4267
Chi Hee Youn Su-Heon Lee Hoeil Chung
Vol. 33, No. 12, pp. 4267-4270, Dec. 2012
10.5012/bkcs.2012.33.12.4267
Synthesis of N-Substituted-2-Aminothiazolo[4,5-b]pyrazines by Tandem Reaction of o-Aminohalopyrazines with Isothiocyanates
Se Hun Kwak Gee-Hyung Lee Young-Dae Gong
Vol. 33, No. 12, pp. 4271-4274, Dec. 2012
10.5012/bkcs.2012.33.12.4271
Vol. 33, No. 12, pp. 4271-4274, Dec. 2012
10.5012/bkcs.2012.33.12.4271
Development on Recovery of MFB from Industrial Waste without Second Pollution
Kyung Duck Kim Young Yu Hyo Jin Jeong Ham Mi Jung Ki Lim Kim
Ah Na Kim Oyunerdene Dagvajantsan Gyoo Soon Park Seok Chan Kim
Vol. 33, No. 12, pp. 4275-4276, Dec. 2012
10.5012/bkcs.2012.33.12.4275
Ah Na Kim Oyunerdene Dagvajantsan Gyoo Soon Park Seok Chan Kim
Vol. 33, No. 12, pp. 4275-4276, Dec. 2012
10.5012/bkcs.2012.33.12.4275
Inhibition of SHP-2 Activity by PRL-3 Inhibitor I
Anna Ju Huiyun Seo Sayeon Cho
Vol. 33, No. 12, pp. 4277-4279, Dec. 2012
10.5012/bkcs.2012.33.12.4277
Vol. 33, No. 12, pp. 4277-4279, Dec. 2012
10.5012/bkcs.2012.33.12.4277