Digital Library
Vol. 35, No. 12,
Dec. 2014
Papers since 2015 are available from Wiley.
(Bulletin of the Korean Chemical Society: List of Issues - Wiley Online Library)
(Bulletin of the Korean Chemical Society: List of Issues - Wiley Online Library)
Nanocomposites Based on Polytetrafluoroethylene and Ultrahigh Molecular Weight Polyethylene: A Brief Review
Iu. V. Kirillina L. A. Nikiforov A. A. Okhlopkova S. A. Sleptsova Cheonho Yoon
Jin-Ho Cho
Vol. 35, No. 12, pp. 3411-3420, Dec. 2014
10.5012/bkcs.2014.35.12.3411
Jin-Ho Cho
Vol. 35, No. 12, pp. 3411-3420, Dec. 2014
10.5012/bkcs.2014.35.12.3411
Synthesis of Silicon Nanocrystal by Magnesium Directed Reduction of the Silica Nanoparticle Formed in Micro-Emulsion of Reverse Micelle
Mechanistic Studies on Alcoholysis of α-Keto esters
Song-Ei Song Bum Hee Lim Kwan Woo Han Tae Jun Park Bong Ser Park
Vol. 35, No. 12, pp. 3423-3424, Dec. 2014
10.5012/bkcs.2014.35.12.3423
Vol. 35, No. 12, pp. 3423-3424, Dec. 2014
10.5012/bkcs.2014.35.12.3423
Fabrication of Free-floating Nanohybrid Microparticles with ZnO Nanowire Surfaces
Improvement in Plume Dispersion Formulas for Stack Emissions Using Ground-based Imaging-DOAS Data
Hanlim Lee Jaeyong Ryu Ukkyo Jeong Youngmin Noh Sung Kyun Shin
Hyunkee Hong Soonchul Kwon
Vol. 35, No. 12, pp. 3427-3432, Dec. 2014
10.5012/bkcs.2014.35.12.3427
Hyunkee Hong Soonchul Kwon
Vol. 35, No. 12, pp. 3427-3432, Dec. 2014
10.5012/bkcs.2014.35.12.3427
Synthesis of Piperidones from Benzyl Azides and Acetone
Junghoon Han Young Ho Rhee Jaiwook Park
Vol. 35, No. 12, pp. 3433-3436, Dec. 2014
10.5012/bkcs.2014.35.12.3433
Vol. 35, No. 12, pp. 3433-3436, Dec. 2014
10.5012/bkcs.2014.35.12.3433
A Carbazole Based Bimodal “Turn-On” Fluorescent Probe for Biothiols (Cysteine/Homocysteine) and Fluoride: Sensing, Imaging and its Applications
Matinder Kaur Byungkwon Yoon Rajesh Kumar Min Ju Cho Hak Joong Kim
Jong Seung Kim Dong Hoon Choi
Vol. 35, No. 12, pp. 3437-3442, Dec. 2014
10.5012/bkcs.2014.35.12.3437
Jong Seung Kim Dong Hoon Choi
Vol. 35, No. 12, pp. 3437-3442, Dec. 2014
10.5012/bkcs.2014.35.12.3437
Solution of Klein Gordon Equation for Some Diatomic Molecules with New Generalized Morse-like Potential Using SUSYQM
Cecilia N. Isonguyo Ituen B. Okon Akpan N. Ikot Hassan Hassanabadi
Vol. 35, No. 12, pp. 3443-3446, Dec. 2014
10.5012/bkcs.2014.35.12.3443
Vol. 35, No. 12, pp. 3443-3446, Dec. 2014
10.5012/bkcs.2014.35.12.3443
A New Flavonol Glycoside from the Leaves of Boscia senegalensis
Abubaker M. A. Morgan Jang Hoon Kim Sang Kyum Kim Chi-Hwan Lim Young Ho Kim
Vol. 35, No. 12, pp. 3447-3452, Dec. 2014
10.5012/bkcs.2014.35.12.3447
Vol. 35, No. 12, pp. 3447-3452, Dec. 2014
10.5012/bkcs.2014.35.12.3447
Facile Synthesis of Natural Moracin Compounds using Pd(OAc)2/P(tBu)3-HBF4 as a Sonogashira Coupling Reagent
Jae Jun Lee So-Ra Yun Jong-Gab Jun
Vol. 35, No. 12, pp. 3453-3458, Dec. 2014
10.5012/bkcs.2014.35.12.3453
Vol. 35, No. 12, pp. 3453-3458, Dec. 2014
10.5012/bkcs.2014.35.12.3453
Anion-Dependent Exocyclic Mercury(II) Coordination Polymers of Bis-dithiamacrocycle
Arlette Deukam Siewe Seulgi Kim Kyu Seong Choi Shim Sung Lee
Vol. 35, No. 12, pp. 3459-3464, Dec. 2014
10.5012/bkcs.2014.35.12.3459
Vol. 35, No. 12, pp. 3459-3464, Dec. 2014
10.5012/bkcs.2014.35.12.3459
Porous Silica Particles As Chromatographic Separation Media: A Review
Systematic Analysis for the Effects of Atmospheric Pollutants in Cathode Feed on the Performance of Proton Exchange Membrane Fuel Cells
Young-Gon Yoon Insoo Choi Chang-Ha Lee Jonghee Han Hyoung-Juhn Kim
EunAe Cho Sung Jong Yoo Suk Woo Nam Tae-Hoon Lim Jong Jin Yoon
Sehkyu Park Jong Hyun Jang
Vol. 35, No. 12, pp. 3475-3481, Dec. 2014
10.5012/bkcs.2014.35.12.3475
EunAe Cho Sung Jong Yoo Suk Woo Nam Tae-Hoon Lim Jong Jin Yoon
Sehkyu Park Jong Hyun Jang
Vol. 35, No. 12, pp. 3475-3481, Dec. 2014
10.5012/bkcs.2014.35.12.3475
Errors in Isotope Dilution Caused by Matrix-induced Mass Bias Effect in Quadrupole Inductively Coupled Plasma-Mass Spectrometry
Synthesis of Dithiolopyrrolone Derivatives and Their Leukocyte-Increasing Activities
Chungang Li Yiping Sun Guoping Wang Xiangduan Tan
Vol. 35, No. 12, pp. 3489-3494, Dec. 2014
10.5012/bkcs.2014.35.12.3489
Vol. 35, No. 12, pp. 3489-3494, Dec. 2014
10.5012/bkcs.2014.35.12.3489
Crystal Structure and Tautomerism Study of the Mono-protonated Metformin Salt
Xiaodan Wei Yuhua Fan Caifeng Bi Xingchen Yan Xia Zhang
Xin Li
Vol. 35, No. 12, pp. 3495-3501, Dec. 2014
10.5012/bkcs.2014.35.12.3495
Xin Li
Vol. 35, No. 12, pp. 3495-3501, Dec. 2014
10.5012/bkcs.2014.35.12.3495
Synthesis and Potent Anti-leukemic Activity of Novel 5'-Norcarbocyclic C-nucleoside Phosphonic Acids
Seyeon Kim Eunae Kim Chang-Hyun Oh Kyung Ho Yoo Joon Hee Hong
Vol. 35, No. 12, pp. 3502-3508, Dec. 2014
10.5012/bkcs.2014.35.12.3502
Vol. 35, No. 12, pp. 3502-3508, Dec. 2014
10.5012/bkcs.2014.35.12.3502
Composition Effect of the Outer Layer on the Vesicle Fusion Catalyzed by Phospholipase D
DFT Calculated Structures and IR Spectra of the Conformers of para-Bromocalix[4]aryl Derivatives
Sangdoo Ahn Dong-Kuk Lee Jong-In Choe
Vol. 35, No. 12, pp. 3514-3520, Dec. 2014
10.5012/bkcs.2014.35.12.3514
Vol. 35, No. 12, pp. 3514-3520, Dec. 2014
10.5012/bkcs.2014.35.12.3514
Synthesis of Magnetic Sonophotocatalyst and its Enhanced Biodegradability of Organophosphate Pesticide
Meng Lirong Shi Jianjun Zhao Ming He Jie
Vol. 35, No. 12, pp. 3521-3526, Dec. 2014
10.5012/bkcs.2014.35.12.3521
Vol. 35, No. 12, pp. 3521-3526, Dec. 2014
10.5012/bkcs.2014.35.12.3521
Molecular Dynamics Simulation Study of Transport Properties of Diatomic Gases
Temperature and Electric Field Effect on Proton Transfer in Adenine-thymine
SBA-15 Supported Fe, Ni, Fe-Ni Bimetallic Catalysts for Wet Oxidation of Bisphenol-A
Suranjana V. Mayani Vishal J. Mayani Sang Wook Kim
Vol. 35, No. 12, pp. 3535-3541, Dec. 2014
10.5012/bkcs.2014.35.12.3535
Vol. 35, No. 12, pp. 3535-3541, Dec. 2014
10.5012/bkcs.2014.35.12.3535
End-to-end Structural Restriction of α-Synuclein and Its Influence on Amyloid Fibril Formation
Chul-Suk Hong Jae Hyung Park Young-Jun Choe Seung R. Paik
Vol. 35, No. 12, pp. 3542-3546, Dec. 2014
10.5012/bkcs.2014.35.12.3542
Vol. 35, No. 12, pp. 3542-3546, Dec. 2014
10.5012/bkcs.2014.35.12.3542
Nanosecond Gated Raman Spectroscopy for Standoff Detection of Hazardous Materials
Jin Hyuk Chung Soo Gyeong Cho
Vol. 35, No. 12, pp. 3547-3552, Dec. 2014
10.5012/bkcs.2014.35.12.3547
Vol. 35, No. 12, pp. 3547-3552, Dec. 2014
10.5012/bkcs.2014.35.12.3547
Synthesis and Electrochemical Performance of Reduced Graphene Oxide/AlPO4-coated LiMn1.5Ni0.5O4 for Lithium-ion Batteries
Study on Anharmonic Effect of the Unimolecular Reaction of CH2(D2)FO
Jingjun Zhong Qian Li Ji Luo Wenwen Xia Li Yao
S. H. Lin
Vol. 35, No. 12, pp. 3559-3566, Dec. 2014
10.5012/bkcs.2014.35.12.3559
S. H. Lin
Vol. 35, No. 12, pp. 3559-3566, Dec. 2014
10.5012/bkcs.2014.35.12.3559
The Study of Adsorption Structures of 3-Methyl-5-Pyrazolone on the Ge(100) Surface
Synthesis and Biological Evaluation of Tetrapeptide Ketones as Reversible 20S Proteasome Inhibitors
Muhammad Latif Myoung Eun Jung Kwangho Lee Gildon Choi
Vol. 35, No. 12, pp. 3571-3575, Dec. 2014
10.5012/bkcs.2014.35.12.3571
Vol. 35, No. 12, pp. 3571-3575, Dec. 2014
10.5012/bkcs.2014.35.12.3571
Electrochemical Behavior of Pt-Ru Catalysts on Zeolite-templated Carbon Supports for Direct Methanol Fuel Cells
Tae-Jin Lim Seul-Yi Lee Yoon-Jong Yoo Soo-Jin Park
Vol. 35, No. 12, pp. 3576-3582, Dec. 2014
10.5012/bkcs.2014.35.12.3576
Vol. 35, No. 12, pp. 3576-3582, Dec. 2014
10.5012/bkcs.2014.35.12.3576
Fabrication of Mesoporous Hollow TiO2 Microcapsules for Application as a DNA Separator
Sang Gweon Jeon Jin Young Yang Keun Woo Park Geon-Joong Kim
Vol. 35, No. 12, pp. 3583-3589, Dec. 2014
10.5012/bkcs.2014.35.12.3583
Vol. 35, No. 12, pp. 3583-3589, Dec. 2014
10.5012/bkcs.2014.35.12.3583
Heteroleptic Phosphorescent Iridium(III) Compound with Blue Emission for Potential Application to Organic Light–Emitting Diodes
Sihyun Oh Narae Jung Jongwon Lee Jinho Kim Ki-Min Park
Youngjin Kang
Vol. 35, No. 12, pp. 3590-3594, Dec. 2014
10.5012/bkcs.2014.35.12.3590
Youngjin Kang
Vol. 35, No. 12, pp. 3590-3594, Dec. 2014
10.5012/bkcs.2014.35.12.3590
Investigation of Gold and Silver Nanoparticles as Acid–base pH Indicators and Their Transition pH Ranges
Byoung Gue Jung Jihee Jo Jin Won Yu Jong Kuk Lim
Vol. 35, No. 12, pp. 3595-3600, Dec. 2014
10.5012/bkcs.2014.35.12.3595
Vol. 35, No. 12, pp. 3595-3600, Dec. 2014
10.5012/bkcs.2014.35.12.3595
RGB Light Emissions from ZnSe Based Nanocrystals: ZnSe, ZnSe:Cu, and ZnSe:Mn
Byungkwan Song Jeongho Heo Cheong-Soo Hwang
Vol. 35, No. 12, pp. 3601-3608, Dec. 2014
10.5012/bkcs.2014.35.12.3601
Vol. 35, No. 12, pp. 3601-3608, Dec. 2014
10.5012/bkcs.2014.35.12.3601
Microwave Assisted Synthesis of 1,3,4-Oxadiazole/Thiohydantoin Hybrid Derivatives via Dehydrative Cycliztion of Semicarbazide
Seung-Ju Yang Jae-Min Lee Gee-Hyung Lee NaYeon Kim Yong-Sang Kim
Young-Dae Gong
Vol. 35, No. 12, pp. 3609-3617, Dec. 2014
10.5012/bkcs.2014.35.12.3609
Young-Dae Gong
Vol. 35, No. 12, pp. 3609-3617, Dec. 2014
10.5012/bkcs.2014.35.12.3609
Expeditious Synthesis of Natural Benzofuran, Eupomatenoid-6 by Umpolung of α-Aminophosphonates
Synthesis and Biological Evaluation of Novel IM3829 (4-(2-Cyclohexylethoxy)aniline) Derivatives as Potent Radiosensitizers
Jiyeon Ahn Ky-Youb Nam Sae-lo-oom Lee Hwani Ryu Hyun Kyung Choi
Jie-Young Song
Vol. 35, No. 12, pp. 3623-3626, Dec. 2014
10.5012/bkcs.2014.35.12.3623
Jie-Young Song
Vol. 35, No. 12, pp. 3623-3626, Dec. 2014
10.5012/bkcs.2014.35.12.3623
Effective α-Helix Stabilization via Hexenyl Propionate Cross-Link
De Novo Design and Their Antimicrobial Activity of Stapled Amphipathic Helices of Heptapeptides
Thuy T. T. Dinh Do-Hee Kim Bong-Jin Lee Young-Woo Kim
Vol. 35, No. 12, pp. 3632-3636, Dec. 2014
10.5012/bkcs.2014.35.12.3632
Vol. 35, No. 12, pp. 3632-3636, Dec. 2014
10.5012/bkcs.2014.35.12.3632
Prediction of the Toxicity of Dimethylformamide, Methyl Ethyl Ketone, and Toluene Mixtures by QSAR Modeling
Ki-Woong Kim Yong Lim Won Mun Ki Hong Jihoon Jo Sung Kwang Lee
Vol. 35, No. 12, pp. 3637-3641, Dec. 2014
10.5012/bkcs.2014.35.12.3637
Vol. 35, No. 12, pp. 3637-3641, Dec. 2014
10.5012/bkcs.2014.35.12.3637
A Ligand Exchange-based Fluorogenic Assay for Cartap Using Cu2+-calcein Blue Complex
Yoon Ji Shin Min Sik Eom Seungyoon Kang Min Su Han
Vol. 35, No. 12, pp. 3642-3644, Dec. 2014
10.5012/bkcs.2014.35.12.3642
Vol. 35, No. 12, pp. 3642-3644, Dec. 2014
10.5012/bkcs.2014.35.12.3642
Synthesis of 8-Triazolochrysin Analogs Through Click Reaction
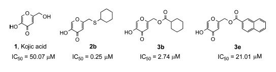
Synthesis and Biological Evaluation of Kojic acid Derivatives as Tyrosinase Inhibitors
Yeong Jin Choi Ho Sik Rho Heung Soo Baek Yong Deog Hong Yung Hyup Joo
Song Seok Shin Ji Man Kim
Vol. 35, No. 12, pp. 3647-3650, Dec. 2014
10.5012/bkcs.2014.35.12.3647
Song Seok Shin Ji Man Kim
Vol. 35, No. 12, pp. 3647-3650, Dec. 2014
10.5012/bkcs.2014.35.12.3647
Spiro-β-lactams Synthesized from Imines Derived from 8-Azabicyclo[3.2.1]octan-3-ones
Ju-Hyun Song Yeon-geun Kwon Hyun-Ok Lee Dai-Il Jung Jung-Tai Hahn
Vol. 35, No. 12, pp. 3651-3654, Dec. 2014
10.5012/bkcs.2014.35.12.3651
Vol. 35, No. 12, pp. 3651-3654, Dec. 2014
10.5012/bkcs.2014.35.12.3651
NMR Exchange Study of Z-DNA Duplexes Induced by the Zα Domain of Human ADAR1 Containing Mutation on the β-Hairpin
Ae-Ree Lee Minjee Jeong Jin-Hyun Yoo Yong-Geun Choi Hee-Eun Kim
Joon-Hwa Lee
Vol. 35, No. 12, pp. 3655-3657, Dec. 2014
10.5012/bkcs.2014.35.12.3655
Joon-Hwa Lee
Vol. 35, No. 12, pp. 3655-3657, Dec. 2014
10.5012/bkcs.2014.35.12.3655
Crystal Structure and Physical Properties of Silver(I) Coordination Polymer with Helical Looped-Chain Topology
Huiyeong Ju Eunji Lee Suk-Hee Moon Shim Sung Lee Ki-Min Park
Vol. 35, No. 12, pp. 3658-3660, Dec. 2014
10.5012/bkcs.2014.35.12.3658
Vol. 35, No. 12, pp. 3658-3660, Dec. 2014
10.5012/bkcs.2014.35.12.3658
Inhibition of IL-6-induced STAT3 Activation by Pimaradienoic Acid from Aralia continentalis
Tae-Seok Oh Eun Young Bae Mi Hwa Kim Hyun-Mee Oh Seung Woong Lee
Chang-Ho Kim
Vol. 35, No. 12, pp. 3661-3664, Dec. 2014
10.5012/bkcs.2014.35.12.3661
Chang-Ho Kim
Vol. 35, No. 12, pp. 3661-3664, Dec. 2014
10.5012/bkcs.2014.35.12.3661
A New Amaryllidaceae Alkaloid from the Bulbs of Lycoris radiata
Ji Young Lee Mi-Ran Cha Ji Eun Lee Jinhee Kim Heeyeong Cho
Woo Kyu Park Sang Un Choi Shi Yong Ryu
Vol. 35, No. 12, pp. 3665-3667, Dec. 2014
10.5012/bkcs.2014.35.12.3665
Woo Kyu Park Sang Un Choi Shi Yong Ryu
Vol. 35, No. 12, pp. 3665-3667, Dec. 2014
10.5012/bkcs.2014.35.12.3665
Coumarin-Based Organogel Formed at Different Solvent Compositions and Their Luminescent Properties
Jin Hwan Jung Seon-Ae Lee Ji Ha Lee Heekyoung Choi Jaehyeon Park
Ki-Young Kwon Myong Yong Choi Jong Hwa Jung
Vol. 35, No. 12, pp. 3668-3670, Dec. 2014
10.5012/bkcs.2014.35.12.3668
Ki-Young Kwon Myong Yong Choi Jong Hwa Jung
Vol. 35, No. 12, pp. 3668-3670, Dec. 2014
10.5012/bkcs.2014.35.12.3668
Arginine- or Lysine-catalyzed Michael Addition of Nitromethane to α,β-Unsaturated Ketones in Aqueous Media
Regioselective Click Chemistry for Construction of Arylpiperazinyl 1,2,3-Triazole Derivative Libraries as Dopamine D4/D3 Receptor Ligands
Ju Myung Kwak Ji Su Moon Sangei Seo Jea I Choi Vasu Sampath
Hee-Yoon Lee Hun Yeong Koh
Vol. 35, No. 12, pp. 3675-3678, Dec. 2014
10.5012/bkcs.2014.35.12.3675
Hee-Yoon Lee Hun Yeong Koh
Vol. 35, No. 12, pp. 3675-3678, Dec. 2014
10.5012/bkcs.2014.35.12.3675