Digital Library
Vol. 33, No. 8,
Aug. 2012
Papers since 2015 are available from Wiley.
(Bulletin of the Korean Chemical Society: List of Issues - Wiley Online Library)
(Bulletin of the Korean Chemical Society: List of Issues - Wiley Online Library)
Phosphate-containing Metabolite Enrichment with TiO2 Micro-tips
Characterization of Two Naturally Occurring Mutations (Gly-101 Deletion and Glu-340 to Lys Substitution) in Human Dihydrolipoamide Dehydrogenase of a Patient with Metabolic Acidosis
Improved Structural Quality of Aromatic Thiol Self-Assembled Monolayers on Au(111) by Microwave Irradiation
Taesung Park Hungu Kang Eisuke Ito Masahiko Hara Jaegeun Noh
Vol. 33, No. 8, pp. 2479-2480, Aug. 2012
10.5012/bkcs.2012.33.8.2479
Vol. 33, No. 8, pp. 2479-2480, Aug. 2012
10.5012/bkcs.2012.33.8.2479
Catalytic Enantioselective Fluorination of α-Cyanosulfones in the Presence of Chiral Palladium Complexes
Bo Kyung Kwon Joo Yang Mang Dae Young Kim
Vol. 33, No. 8, pp. 2481-2482, Aug. 2012
10.5012/bkcs.2012.33.8.2481
Vol. 33, No. 8, pp. 2481-2482, Aug. 2012
10.5012/bkcs.2012.33.8.2481
Study on the Kinetics and Mechanism of Grain Growth during the Thermal Decomposition of Magnesite
Da-xue Fu Nai-xiang Feng Yao-wu Wang
Vol. 33, No. 8, pp. 2483-2488, Aug. 2012
10.5012/bkcs.2012.33.8.2483
Vol. 33, No. 8, pp. 2483-2488, Aug. 2012
10.5012/bkcs.2012.33.8.2483
Acridine Fluorescence Behaviors in Different Polymeric Microenvironments Directed by C2-Proton-Acidity of Imidazolium-Based Ionic Liquids
Myoung-Jin Ji Jong-Gyu Kim Ueon Sang Shin
Vol. 33, No. 8, pp. 2489-2493, Aug. 2012
10.5012/bkcs.2012.33.8.2489
Vol. 33, No. 8, pp. 2489-2493, Aug. 2012
10.5012/bkcs.2012.33.8.2489
Synthesis of High Refractive Spiroheterocyclic Derivatives Through Thioacetalization of Multi-Carbonyl Compounds
Ji-myoung Ye Muchchintala Maheswara Jung Yun Do
Vol. 33, No. 8, pp. 2494-2498, Aug. 2012
10.5012/bkcs.2012.33.8.2494
Vol. 33, No. 8, pp. 2494-2498, Aug. 2012
10.5012/bkcs.2012.33.8.2494
A Novel Electrochemical Method for Sensitive Detection of Melamine in Infant Formula and Milk using Ascorbic Acid as Recognition Element
Junhua Li Daizhi Kuang Yonglan Feng Fuxing Zhang Zhifeng Xu
Mengqin Liu
Vol. 33, No. 8, pp. 2499-2507, Aug. 2012
10.5012/bkcs.2012.33.8.2499
Mengqin Liu
Vol. 33, No. 8, pp. 2499-2507, Aug. 2012
10.5012/bkcs.2012.33.8.2499
Purification and Structural Characterization of Cold Shock Protein from Listeria monocytogenes
Juho Lee Ki-Woong Jeong Yangmee Kim
Vol. 33, No. 8, pp. 2508-2512, Aug. 2012
10.5012/bkcs.2012.33.8.2508
Vol. 33, No. 8, pp. 2508-2512, Aug. 2012
10.5012/bkcs.2012.33.8.2508
Thermal Stability and Fracture Toughness of Epoxy Resins Modified with Epoxidized Castor Oil and Al2O3 Nanoparticles
Lin Zhu Fan-Long Jin Soo-Jin Park
Vol. 33, No. 8, pp. 2513-2516, Aug. 2012
10.5012/bkcs.2012.33.8.2513
Vol. 33, No. 8, pp. 2513-2516, Aug. 2012
10.5012/bkcs.2012.33.8.2513
One-Pot Reaction Involving Two Different Amines and Formaldehyde Leading to the Formation of Poly(Macrocyclic) Cu(II) Complexes
Highly Luminescent (Zn0.6Sr0.3Mg0.1)2Ga2S5:Eu2+ Green Phosphors for a White Light-Emitting Diode
Yong-Kwang Jeong Dong-Hee Cho Kwang-Bok Kim Jun-Gill Kang
Vol. 33, No. 8, pp. 2523-2528, Aug. 2012
10.5012/bkcs.2012.33.8.2523
Vol. 33, No. 8, pp. 2523-2528, Aug. 2012
10.5012/bkcs.2012.33.8.2523
Facile Coating of Poly(3,4-ethylenedioxythiophene) on Manganese Dioxide by Galvanic Displacement Reaction and Its Electrochemical Properties for Electrochemical Capacitors
Kwang-Heon Kim Ji-Young Kim Kwang-Bum Kim
Vol. 33, No. 8, pp. 2529-2534, Aug. 2012
10.5012/bkcs.2012.33.8.2529
Vol. 33, No. 8, pp. 2529-2534, Aug. 2012
10.5012/bkcs.2012.33.8.2529
Self-Organized Synthesis and Mechanism of SnO2@Carbon Tube-Core Nanowire
Minting Luo Yongjun Ma Chonghua Pei Yujing Xing Lixia Wen
Li Zhang
Vol. 33, No. 8, pp. 2535-2538, Aug. 2012
10.5012/bkcs.2012.33.8.2535
Li Zhang
Vol. 33, No. 8, pp. 2535-2538, Aug. 2012
10.5012/bkcs.2012.33.8.2535
Performance Enhancement by Adaptation of Long Term Chronoamperometry in Direct Formic Acid Fuel Cell using Palladium Anode Catalyst
Yongchai Kwon S. M. Baik Jonghee Han Jinsoo Kim
Vol. 33, No. 8, pp. 2539-2545, Aug. 2012
10.5012/bkcs.2012.33.8.2539
Vol. 33, No. 8, pp. 2539-2545, Aug. 2012
10.5012/bkcs.2012.33.8.2539
Biguanide-Functionalized Fe3O4/SiO2 Magnetic Nanoparticles: An Efficient Heterogeneous Organosuperbase Catalyst for Various Organic Transformations in Aqueous Media
Abdolhamid Alizadeh Mohammad M. Khodaei Mojtaba Beygzadeh
Davood Kordestani Mostafa Feyzi
Vol. 33, No. 8, pp. 2546-2552, Aug. 2012
10.5012/bkcs.2012.33.8.2546
Davood Kordestani Mostafa Feyzi
Vol. 33, No. 8, pp. 2546-2552, Aug. 2012
10.5012/bkcs.2012.33.8.2546
Monte Carlo Simulation on Adsorption Properties of Benzene, Toluene, and p-Xylene in MCM-41
Effect of Polymer Characteristics on the Thermal Stability of Retinol Encapsulated in Aliphatic Polyester Nanoparticles
Lipofectamine-2000 Assisted Magnetofection to Fibroblast Cells Using Polyethyleneimine-Fe3O4@SiO2 Nanoparticles
Eue-Soon Janga Kyeong Soon Park
Vol. 33, No. 8, pp. 2567-2573, Aug. 2012
10.5012/bkcs.2012.33.8.2567
Vol. 33, No. 8, pp. 2567-2573, Aug. 2012
10.5012/bkcs.2012.33.8.2567
Synthesis and Conformation of Novel 3'-Branched Threosyl-5'-Deoxyphosphonic Acid Nucleoside Analogues
Guang Huan Shen Lien Kang Eunae Kim Wonjae Lee Joon Hee Hong
Vol. 33, No. 8, pp. 2574-2580, Aug. 2012
10.5012/bkcs.2012.33.8.2574
Vol. 33, No. 8, pp. 2574-2580, Aug. 2012
10.5012/bkcs.2012.33.8.2574
A Novel One-Pot Synthesis of Quinoxaline Derivatives in Fluorinated Alcohols
Samad Khaksar Fariba Rostamnezhad
Vol. 33, No. 8, pp. 2581-2584, Aug. 2012
10.5012/bkcs.2012.33.8.2581
Vol. 33, No. 8, pp. 2581-2584, Aug. 2012
10.5012/bkcs.2012.33.8.2581
Synthesis of Heterocyclic Chalcone Derivatives and Their Radical Scavenging Ability Toward 2,2-Diphenyl-1-Picrylhydrazyl (DPPH) Free Radicals
Ki-Jun Hwang Ho-Seok Kim In-Cheol Han Beom-Tae Kim
Vol. 33, No. 8, pp. 2585-2591, Aug. 2012
10.5012/bkcs.2012.33.8.2585
Vol. 33, No. 8, pp. 2585-2591, Aug. 2012
10.5012/bkcs.2012.33.8.2585
Synthesis of Cysteine Capped Silver Nanoparticles by Electrochemically Active Biofilm and their Antibacterial Activities
Mohammad Mansoob Khan Shafeer Kalathil Jintae Lee Moo Hwan Cho
Vol. 33, No. 8, pp. 2592-2596, Aug. 2012
10.5012/bkcs.2012.33.8.2592
Vol. 33, No. 8, pp. 2592-2596, Aug. 2012
10.5012/bkcs.2012.33.8.2592
The Design and Synthesis of 1,4-Substituted Piperazine Derivatives as Triple Reuptake Inhibitors
Minsoo Han Younghue Han Chiman Song Hoh-Gyu Hahn
Vol. 33, No. 8, pp. 2597-2602, Aug. 2012
10.5012/bkcs.2012.33.8.2597
Vol. 33, No. 8, pp. 2597-2602, Aug. 2012
10.5012/bkcs.2012.33.8.2597
Synthesis, Structure and Biological Properties of a Novel Copper (II) Supramolecular Compound Based on 1,2,4-Triazoles Derivatives
Guang-Mei Qiu Cui-Juan Wang Ya-Jun Zhang Shuai Huang Xiao-Lei Liu
Bing-Jun Zhang Xian-Li Zhou
Vol. 33, No. 8, pp. 2603-2608, Aug. 2012
10.5012/bkcs.2012.33.8.2603
Bing-Jun Zhang Xian-Li Zhou
Vol. 33, No. 8, pp. 2603-2608, Aug. 2012
10.5012/bkcs.2012.33.8.2603
Green Synthesis of Silver and Gold Nanoparticles Using Lonicera Japonica Flower Extract
P. C. Nagajyothi Seong Eon Lee Minh An Kap Duk Lee
Vol. 33, No. 8, pp. 2609-2612, Aug. 2012
10.5012/bkcs.2012.33.8.2609
Vol. 33, No. 8, pp. 2609-2612, Aug. 2012
10.5012/bkcs.2012.33.8.2609
Ni(OH)2 and NiO Nanostructures: Synthesis, Characterization and Electrochemical Performance
Lotf Ali Saghatforoush Mohammad Hasanzadeh Soheila Sanati Robabeh Mehdizadeh
Vol. 33, No. 8, pp. 2613-2618, Aug. 2012
10.5012/bkcs.2012.33.8.2613
Vol. 33, No. 8, pp. 2613-2618, Aug. 2012
10.5012/bkcs.2012.33.8.2613
A Green Protocol for the Bromination and Iodination of the Aromatic Compounds using H5IO6/NaBr and H5IO6/NaI in the Water
Jaber Yousefi-Seyf Kazem Tajeian Eskandar Kolvari Nadiya Koukabi Ardeshir Khazaei
Mohammad Ali Zolfigol
Vol. 33, No. 8, pp. 2619-2622, Aug. 2012
10.5012/bkcs.2012.33.8.2619
Mohammad Ali Zolfigol
Vol. 33, No. 8, pp. 2619-2622, Aug. 2012
10.5012/bkcs.2012.33.8.2619
Direct Palladium-Catalyzed C-4 Arylation of Tri-substituted Furans with Aryl Chlorides: An Efficient Access to Heteroaromatics
Hai Yang Zhishuo Zheng Jian Zeng Huajie Liu Bing Yi
Vol. 33, No. 8, pp. 2623-2626, Aug. 2012
10.5012/bkcs.2012.33.8.2623
Vol. 33, No. 8, pp. 2623-2626, Aug. 2012
10.5012/bkcs.2012.33.8.2623
Design, Synthesis and Antifungal Activities of Novel Strobilurin Derivatives Containing Pyrimidine Moieties
Xiang Zhang Yong-Xin Gao Hui-Jun Liu Bao-Yuan Guo Hui-Li Wang
Vol. 33, No. 8, pp. 2627-2634, Aug. 2012
10.5012/bkcs.2012.33.8.2627
Vol. 33, No. 8, pp. 2627-2634, Aug. 2012
10.5012/bkcs.2012.33.8.2627
Preparation and Investigation on Swelling and Drug Delivery Properties of a Novel Silver/Salep-g-Poly(Acrylic Acid) Nanocomposite Hydrogel
Ghasem Rezanejade Bardajee Zari Hooshyar Firozeh Kabiri
Vol. 33, No. 8, pp. 2635-2641, Aug. 2012
10.5012/bkcs.2012.33.8.2635
Vol. 33, No. 8, pp. 2635-2641, Aug. 2012
10.5012/bkcs.2012.33.8.2635
Reuse of Spent FCC Catalyst for Removing Trace Olefins from Aromatics
Concise Synthetic Approaches to Naturally Occurring β-Hydroxypyranochalcones: First Total Synthesis of Purpurenone, Its Derivative, and Praecansone B
Xue Wang Yong Rok Lee Sung Hong Kim
Vol. 33, No. 8, pp. 2647-2650, Aug. 2012
10.5012/bkcs.2012.33.8.2647
Vol. 33, No. 8, pp. 2647-2650, Aug. 2012
10.5012/bkcs.2012.33.8.2647
Chiral Separation on Sulfonated Cellulose Tris(3,5-dimethylphenylcarbamate)-coated Zirconia Monolith by Capillary Electrochromatography
Jeong-Mi Lee Myung Duk Jang Jung Hag Park
Vol. 33, No. 8, pp. 2651-2656, Aug. 2012
10.5012/bkcs.2012.33.8.2651
Vol. 33, No. 8, pp. 2651-2656, Aug. 2012
10.5012/bkcs.2012.33.8.2651
Study of the Resonance Structures of the Preionizing Spectrum of Molecular Hydrogen by Phase-Shifted Multichannel Quantum Defect Theory II
Theoretical Studies on Selectivity of Dibenzo-18-Crown-6-Ether for Alkaline Earth Divalent Cations
Formation of Niobium Oxide Film with Duplex Layers by Galvanostatic Anodization
Hyun-Kee Kim Jeong Eun Yoo Jiyoung Park Eul Won Seo Jinsub Choi
Vol. 33, No. 8, pp. 2675-2678, Aug. 2012
10.5012/bkcs.2012.33.8.2675
Vol. 33, No. 8, pp. 2675-2678, Aug. 2012
10.5012/bkcs.2012.33.8.2675
CuI Nanoparticles as New, Efficient and Reusable Catalyst for the One-pot Synthesis of 1,4-Dihydropyridines
Javad Safaei-Ghomi Abolfazl Ziarati Raheleh Teymuri
Vol. 33, No. 8, pp. 2679-2682, Aug. 2012
10.5012/bkcs.2012.33.8.2679
Vol. 33, No. 8, pp. 2679-2682, Aug. 2012
10.5012/bkcs.2012.33.8.2679
Facile Evaluation of Thermodynamic Parameters for Reverse Thermochromism of Indolinobenzospiropyran-6-carboxylates in Aqueous Binary Solvents
Sam-Rok Keum So-Young Ma Hyun-Woo Lim Tae-Hwi Han Kyu-Hyun Choi
Vol. 33, No. 8, pp. 2683-2688, Aug. 2012
10.5012/bkcs.2012.33.8.2683
Vol. 33, No. 8, pp. 2683-2688, Aug. 2012
10.5012/bkcs.2012.33.8.2683
Enhancement of Photocurrent Generation by C60-encapsulated Single-walled Carbon Nanotubes in Ru-sensitized Photoelectrochemical Cell
Jungwoo Lee Taehee Park Jongtaek Lee Mira Jang Seungjin Lee
Heesu Kim Sung-Hwan Han Whikun Yi
Vol. 33, No. 8, pp. 2689-2693, Aug. 2012
10.5012/bkcs.2012.33.8.2689
Heesu Kim Sung-Hwan Han Whikun Yi
Vol. 33, No. 8, pp. 2689-2693, Aug. 2012
10.5012/bkcs.2012.33.8.2689
Fabrication and Thermal Oxidation of ZnO Nanofibers Prepared via Electrospinning Technique
Jeong-Ha Baek Juyun Park Jisoo Kang Don Kim Sung-Wi Koh
Yong-Cheol Kang
Vol. 33, No. 8, pp. 2694-2698, Aug. 2012
10.5012/bkcs.2012.33.8.2694
Yong-Cheol Kang
Vol. 33, No. 8, pp. 2694-2698, Aug. 2012
10.5012/bkcs.2012.33.8.2694
Modified Equation for Predicting the Radius of Assembled Superstructures Made of Nanowires Including Polypyrrole Segment of All Length Scales
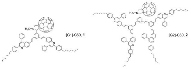
Synthesis of Oligoquinoline Dendronized Fullerenes for Potential Use in Organic Photovoltaic Devices
Kinetics and Mechanism of the Anilinolysis of O-Ethyl Phenyl Phosphonochloridothioate in Acetonitrile
Md. Ehtesham Ul Hoque Hai Whang Lee
Vol. 33, No. 8, pp. 2707-2710, Aug. 2012
10.5012/bkcs.2012.33.8.2707
Vol. 33, No. 8, pp. 2707-2710, Aug. 2012
10.5012/bkcs.2012.33.8.2707
A Theoretical Study on the Alkylation of the Ambident Enolate from a Methyl Glycinate Schiff Base
Aminolysis of Benzyl 4-Pyridyl Carbonate in Acetonitrile: Effect of Modification of Leaving Group from 2-Pyridyloxide to 4-Pyridyloxide on Reactivity and Reaction Mechanism
Preparation, Characterization and First Application of Aerosil Silica Supported Acidic Ionic Liquid as a Reusable Heterogeneous Catalyst for the Synthesis of 2,3-Dihydroquinazolin-4(1H)-ones
Ghazaleh Yassaghi Abolghasem Davoodnia Sadegh Allameh Atefeh Zare-Bidaki Niloofar Tavakoli-Hoseini
Vol. 33, No. 8, pp. 2724-2730, Aug. 2012
10.5012/bkcs.2012.33.8.2724
Vol. 33, No. 8, pp. 2724-2730, Aug. 2012
10.5012/bkcs.2012.33.8.2724
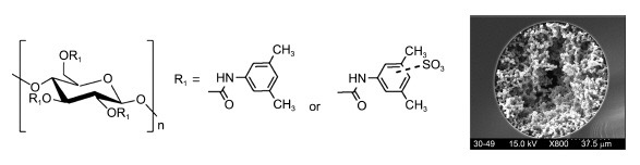
Solubilization of Pyrimethamine, Antibacterial Drug, by Low-Molecular-Weight Succinoglycan Dimers Isolated from Shinorhizobium meliloti
Hwanhee Kim Kyoungtea Kim Jae Min Choi Muhammad Nazir Tahir Eunae Cho
Youngjin Choi Im-Soon Lee Seunho Jung
Vol. 33, No. 8, pp. 2731-2736, Aug. 2012
10.5012/bkcs.2012.33.8.2731
Youngjin Choi Im-Soon Lee Seunho Jung
Vol. 33, No. 8, pp. 2731-2736, Aug. 2012
10.5012/bkcs.2012.33.8.2731
A Comparison of Electrical Stimulation for Electrodic and EDTA-Enhanced Phytoremediation of Lead using Indian Mustard (Brassica juncea)
Jae-Min Lim Biao Jin David J. Butcher
Vol. 33, No. 8, pp. 2737-2740, Aug. 2012
10.5012/bkcs.2012.33.8.2737
Vol. 33, No. 8, pp. 2737-2740, Aug. 2012
10.5012/bkcs.2012.33.8.2737
Synthesis, Urease and Acetylcholine Esterase Inhibition Activities of Some 1,4-Disubstituted Thiosemicarbazides and their 2,5-Disubstituted Thiadiazoles
Muhammad Saleem Muhammad Rafiq Muhammad Hanif Nasim Hasan Rama Sung-Yum Seo
Ki-Hwan Lee
Vol. 33, No. 8, pp. 2741-2747, Aug. 2012
10.5012/bkcs.2012.33.8.2741
Ki-Hwan Lee
Vol. 33, No. 8, pp. 2741-2747, Aug. 2012
10.5012/bkcs.2012.33.8.2741
High Selective Oxidation of Alcohols Based on Trivalent Ion (Cr3+ and Co3+) Complexes Anchored on MCM-41 as Heterogeneous Catalysts
Abdollah Fallah Shojaei Mahboubeh Delavar Rafie Mohammad Hassan Loghmani
Vol. 33, No. 8, pp. 2748-2752, Aug. 2012
10.5012/bkcs.2012.33.8.2748
Vol. 33, No. 8, pp. 2748-2752, Aug. 2012
10.5012/bkcs.2012.33.8.2748
Bamboo Salt Effects on Hydrolysis of Estertin(IV) Complex
Sung Min Kim Jae-Hyun Ju Ok-Sang Jung Suk-Hee Moon Kun-Young Park
Vol. 33, No. 8, pp. 2753-2755, Aug. 2012
10.5012/bkcs.2012.33.8.2753
Vol. 33, No. 8, pp. 2753-2755, Aug. 2012
10.5012/bkcs.2012.33.8.2753
WWOX Induces MEK2-Mediated Cell Death in a p53 Independent Manner
Inhibitory Effects of Phenylpropanoids Isolated from the Bark of Ailanthus altissima on COX-2 Activity
Seon Woo Hwang Jun Lee Ji-Sun Shin Jae Yeol Lee Kyung-Tae Lee
Dae Sik Jang
Vol. 33, No. 8, pp. 2759-2761, Aug. 2012
10.5012/bkcs.2012.33.8.2759
Dae Sik Jang
Vol. 33, No. 8, pp. 2759-2761, Aug. 2012
10.5012/bkcs.2012.33.8.2759
Cobalt (III) Complexes as Novel Matrix Metalloproteinase-9 Inhibitors
Synthesis and Characterization of BNFF Analogues
Tae Keun Kim Jun Ho Choe Byung Woo Lee Kyoo-Hyun Chung
Vol. 33, No. 8, pp. 2765-2768, Aug. 2012
10.5012/bkcs.2012.33.8.2765
Vol. 33, No. 8, pp. 2765-2768, Aug. 2012
10.5012/bkcs.2012.33.8.2765
Anilinolysis of Dimethyl Isothiocyanophosphate in Acetonitrile
Hasi Rani Barai Keshab Kumar Adhikary Hai Whang Lee
Vol. 33, No. 8, pp. 2769-2772, Aug. 2012
10.5012/bkcs.2012.33.8.2769
Vol. 33, No. 8, pp. 2769-2772, Aug. 2012
10.5012/bkcs.2012.33.8.2769
An Unprecedented Self-Assembled Porous Framework Constructed by Intermolecular S…S Contacts
Kyung-In Son Ha-Jin Lee Jaheon Kim Dong-Youn Noh
Vol. 33, No. 8, pp. 2773-2776, Aug. 2012
10.5012/bkcs.2012.33.8.2773
Vol. 33, No. 8, pp. 2773-2776, Aug. 2012
10.5012/bkcs.2012.33.8.2773
Synthesis of Fellutamide C and its Diastereomer
Hung The Dang Bin Xiao Yoon Mi Lee Jongki Hong Chong-O. Lee
Jae Sue Choi Jee H. Jung
Vol. 33, No. 8, pp. 2777-2780, Aug. 2012
10.5012/bkcs.2012.33.8.2777
Jae Sue Choi Jee H. Jung
Vol. 33, No. 8, pp. 2777-2780, Aug. 2012
10.5012/bkcs.2012.33.8.2777
One-Pot Cascade Michael−Cyclization Reactions of o-Hydroxycinnamaldehydes: Synthesis of Functionalized 2,3-Dihydrobenzofuranes
Location of Na+ Ions in Fully Dehydrated Na+-saturated Zeolite Y (FAU, Si/Al = 1.56)
Hai Su Hu Sik Kim Sung Man Seo Seong Oon Ko Jeong Min Suh
Ghyung Hwa Kim Woo Taik Lim
Vol. 33, No. 8, pp. 2785-2788, Aug. 2012
10.5012/bkcs.2012.33.8.2785
Ghyung Hwa Kim Woo Taik Lim
Vol. 33, No. 8, pp. 2785-2788, Aug. 2012
10.5012/bkcs.2012.33.8.2785
Magnetically Recoverable Pd/Fe3O4-Catalyzed Stille Cross-Coupling Reaction of Organostannanes with Aryl Bromides
Aviraboina Siva Prasad Bollikonda Satyanarayana
Vol. 33, No. 8, pp. 2789-2792, Aug. 2012
10.5012/bkcs.2012.33.8.2789
Vol. 33, No. 8, pp. 2789-2792, Aug. 2012
10.5012/bkcs.2012.33.8.2789
Development of [2]-Catenane with Orthogonal Binding Chloride Template
Byung Ju Ryu Nam Joong Jeon Kye Chun Nam
Vol. 33, No. 8, pp. 2793-2795, Aug. 2012
10.5012/bkcs.2012.33.8.2793
Vol. 33, No. 8, pp. 2793-2795, Aug. 2012
10.5012/bkcs.2012.33.8.2793
Identification of Structural Motif of RNAs Interacting with the G-rich Sequence RNA
Facile One-Pot Synthesis of 1-Amidoalkyl-2-Naphthols by RuCl2(PPh3)3-Catalyzed Multi-Component Reactions
Xiaoyan Zhu Yong Rok Lee Sung Hong Kim
Vol. 33, No. 8, pp. 2799-2802, Aug. 2012
10.5012/bkcs.2012.33.8.2799
Vol. 33, No. 8, pp. 2799-2802, Aug. 2012
10.5012/bkcs.2012.33.8.2799
Selective Anti-HCV Activity of 6,7-Bis-O-Arylmethyl-5,6,7-Trihydroxychromone Derivatives
Hyunjun Yoon Mi Kyoung Kim Hyejung Mok Youhoon Chong
Vol. 33, No. 8, pp. 2803-2805, Aug. 2012
10.5012/bkcs.2012.33.8.2803
Vol. 33, No. 8, pp. 2803-2805, Aug. 2012
10.5012/bkcs.2012.33.8.2803
Photopolymerization-Induced Vertical Phase Separation and Homeotropic Alignment in Liquid Crystal and Polymer Mixtures
Hyo Kang Sang-Woo Joo Daeseung Kang
Vol. 33, No. 8, pp. 2806-2808, Aug. 2012
10.5012/bkcs.2012.33.8.2806
Vol. 33, No. 8, pp. 2806-2808, Aug. 2012
10.5012/bkcs.2012.33.8.2806