Digital Library
Vol. 33, No. 10,
Oct. 2012
Papers since 2015 are available from Wiley.
(Bulletin of the Korean Chemical Society: List of Issues - Wiley Online Library)
(Bulletin of the Korean Chemical Society: List of Issues - Wiley Online Library)
Characterization of Human Cytosolic Thioredoxin Mutants with Increasing Side Chain Volumes at Residue-33
Lin Yuan Young-Joon Cho Hakjung Kim
Vol. 33, No. 10, pp. 3169-3170, Oct. 2012
10.5012/bkcs.2012.33.10.3169
Vol. 33, No. 10, pp. 3169-3170, Oct. 2012
10.5012/bkcs.2012.33.10.3169
Organocatalytic Asymmetric Conjugate Addition of 3-Alkyl-Substituted Oxindoles to Vinyl Ketones
An Efficient Synthesis of Nitriles from Aldoximes Using Diethyl Phosphorocyanidate under Mild Conditions
Kieseung Lee Hyeon-Seong An Chan-Yeon Hwang
Vol. 33, No. 10, pp. 3173-3174, Oct. 2012
10.5012/bkcs.2012.33.10.3173
Vol. 33, No. 10, pp. 3173-3174, Oct. 2012
10.5012/bkcs.2012.33.10.3173
Organocatalytic and Enantioselective Mannich Reaction of Dicyanoolefins with α-Amido Sulfones
Synthesis of Carbon Nanofibers Based on Resol Type Phenol Resin and Fe(III) Catalysts
Yura Hyun Haesik Kim Chang-Seop Lee
Vol. 33, No. 10, pp. 3177-3183, Oct. 2012
10.5012/bkcs.2012.33.10.3177
Vol. 33, No. 10, pp. 3177-3183, Oct. 2012
10.5012/bkcs.2012.33.10.3177
Cationic Dye (Methylene Blue) Removal from Aqueous Solution by Montmorillonite
Baybars Ali Fil Cengiz Özmetin Mustafa Korkmaz
Vol. 33, No. 10, pp. 3184-3190, Oct. 2012
10.5012/bkcs.2012.33.10.3184
Vol. 33, No. 10, pp. 3184-3190, Oct. 2012
10.5012/bkcs.2012.33.10.3184
Fabrication of Amino Acid Based Silver Nanocomposite Hydrogels from PVA- Poly(Acrylamide-co-Acryloyl phenylalanine) and Their Antimicrobial Studies
Hyeong-Rae Cha V. Ramesh Babu K. S. V. Krishna Rao Yong-Hyun Kim Surong Mei
Woo Hong Joo Yong-Ill Lee
Vol. 33, No. 10, pp. 3191-3195, Oct. 2012
10.5012/bkcs.2012.33.10.3191
Woo Hong Joo Yong-Ill Lee
Vol. 33, No. 10, pp. 3191-3195, Oct. 2012
10.5012/bkcs.2012.33.10.3191
Effect of Template Removal on Synthesis of Organic-Inorganic Hybrid Mesoporous MCM-48
Ya Nan Zhao San Xi Li Chong Soo Han
Vol. 33, No. 10, pp. 3196-3202, Oct. 2012
10.5012/bkcs.2012.33.10.3196
Vol. 33, No. 10, pp. 3196-3202, Oct. 2012
10.5012/bkcs.2012.33.10.3196
Kinetics and Mechanism of the Pyridinolysis of Diisopropyl Chlorothiophosphate in Acetonitrile
Md. Ehtesham Ul Hoque Hai Whang Lee
Vol. 33, No. 10, pp. 3203-3207, Oct. 2012
10.5012/bkcs.2012.33.10.3203
Vol. 33, No. 10, pp. 3203-3207, Oct. 2012
10.5012/bkcs.2012.33.10.3203
Development of SS-AG20-loaded Polymeric Microparticles by Oil-in-Water (o/w) Emulsion Solvent Evaporation and Spray Drying Methods for Sustained Drug Delivery
Eunjung Choi Cheng Zhe Bai Areum Hong Jong-Sang Park
Vol. 33, No. 10, pp. 3208-3212, Oct. 2012
10.5012/bkcs.2012.33.10.3208
Vol. 33, No. 10, pp. 3208-3212, Oct. 2012
10.5012/bkcs.2012.33.10.3208
Ni/ZnO-based Adsorbents Supported on Al2O3, SiO2, TiO2, ZrO2: A Comparison for Desulfurization of Model Gasoline by Reactive Adsorption
Xuan Meng Huan Huang Huixin Weng Li Shi
Vol. 33, No. 10, pp. 3213-3217, Oct. 2012
10.5012/bkcs.2012.33.10.3213
Vol. 33, No. 10, pp. 3213-3217, Oct. 2012
10.5012/bkcs.2012.33.10.3213
One Pot Synthesis and Characterization of Alginate Stabilized Semiconductor Nanoparticles
Parani Sundarrajan Prabakaran Eswaran Alexander Marimuthu Lakshmi Baddireddi Subhadra Pandian Kannaiyan
Vol. 33, No. 10, pp. 3218-3224, Oct. 2012
10.5012/bkcs.2012.33.10.3218
Vol. 33, No. 10, pp. 3218-3224, Oct. 2012
10.5012/bkcs.2012.33.10.3218
Synthesis and Physicochemical Characterization of Biodegradable PLGA-based Magnetic Nanoparticles Containing Amoxicilin
Somayeh Alimohammadi Roya Salehi Niloofar Amini Soodabeh Davaran
Vol. 33, No. 10, pp. 3225-3232, Oct. 2012
10.5012/bkcs.2012.33.10.3225
Vol. 33, No. 10, pp. 3225-3232, Oct. 2012
10.5012/bkcs.2012.33.10.3225
Protein Analysis Using a Combination of an Online Monolithic Trypsin Immobilized Enzyme Reactor and Collisionally-Activated Dissociation/Electron Transfer Dissociation Dual Tandem Mass Spectrometry
Hyo Jin Hwang Kun Cho Jin Young Kim Young Hwan Kim Han Bin Oh
Vol. 33, No. 10, pp. 3233-3240, Oct. 2012
10.5012/bkcs.2012.33.10.3233
Vol. 33, No. 10, pp. 3233-3240, Oct. 2012
10.5012/bkcs.2012.33.10.3233
Ionic Liquids as Benign Solvents for the Extraction of Aromatics
Md. Anwar Hossain Jeesun Lee Dai Hyun Kim Dinh Quan Nguyen Minserk Cheong
Hoon Sik Kim
Vol. 33, No. 10, pp. 3241-3247, Oct. 2012
10.5012/bkcs.2012.33.10.3241
Hoon Sik Kim
Vol. 33, No. 10, pp. 3241-3247, Oct. 2012
10.5012/bkcs.2012.33.10.3241
1H, 15N and 13C Backbone Assignments and Secondary Structures of C-ter100 Domain of Vibrio Extracellular Metalloprotease Derived from Vibrio vulnificus
Ji-Hye Yun Heeyoun Kim Jung Eun Park Hae-kap Cheong Chaejoon Cheong
Jung Sup Lee Weontae Lee
Vol. 33, No. 10, pp. 3248-3252, Oct. 2012
10.5012/bkcs.2012.33.10.3248
Jung Sup Lee Weontae Lee
Vol. 33, No. 10, pp. 3248-3252, Oct. 2012
10.5012/bkcs.2012.33.10.3248
A Kinetic Study on Nucleophilic Substitution Reactions of Phenyl Y-Substituted-Phenyl Carbonates with Z-Substituted-Phenoxides: Effect of Modification of Nonleaving Group from Benzoyl to Phenyloxycarbonyl on Reactivity and Reaction Mechanism
Se-Won Min Min-Young Kim Ik-Hwan Um
Vol. 33, No. 10, pp. 3253-3257, Oct. 2012
10.5012/bkcs.2012.33.10.3253
Vol. 33, No. 10, pp. 3253-3257, Oct. 2012
10.5012/bkcs.2012.33.10.3253
Effects of Surface Nitrification on Thermal Conductivity of Modified Aluminum Oxide Nanofibers-Reinforced Epoxy Matrix Nanocomposites
Byung-Joo Kim Kyong-Min Bae Kay-Hyeok An Soo-Jin Park
Vol. 33, No. 10, pp. 3258-3264, Oct. 2012
10.5012/bkcs.2012.33.10.3258
Vol. 33, No. 10, pp. 3258-3264, Oct. 2012
10.5012/bkcs.2012.33.10.3258
Comparative Toxicity Studies of Ultra-Pure Ag, Au, Co, and Cu Nanoparticles Generated by Laser Ablation in Biocompatible Aqueous Solution
Yea Seul Kim Kuk Ki Kim Seonmi Shin Seung Min Park Sang Soo Hah
Vol. 33, No. 10, pp. 3265-3268, Oct. 2012
10.5012/bkcs.2012.33.10.3265
Vol. 33, No. 10, pp. 3265-3268, Oct. 2012
10.5012/bkcs.2012.33.10.3265
High-Contrast Imaging of Biomolecular Interactions Using Liquid Crystals Supported on Roller Printed Protein Surfaces
Min-Kyung Park Chang-Hyun Jang
Vol. 33, No. 10, pp. 3269-3273, Oct. 2012
10.5012/bkcs.2012.33.10.3269
Vol. 33, No. 10, pp. 3269-3273, Oct. 2012
10.5012/bkcs.2012.33.10.3269
Kinetics and Mechanism of Anilinolysis of Phenyl N-Phenyl Phosphoramidochloridate in Acetonitrile
Md. Ehtesham Ul Hoque Hai Whang Lee
Vol. 33, No. 10, pp. 3274-3278, Oct. 2012
10.5012/bkcs.2012.33.10.3274
Vol. 33, No. 10, pp. 3274-3278, Oct. 2012
10.5012/bkcs.2012.33.10.3274
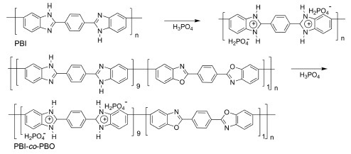
Synthesis and Characterization of H3PO4 Doped Poly(benzimidazole-co-benzoxazole) Membranes for High Temperature Polymer Electrolyte Fuel Cells
Hye-Jin Lee Dong Hoon Lee Dirk Henkensmeier Jong Hyun Jang Eun Ae Cho
Hyoung-Juhn Kim Hwayong Kim
Vol. 33, No. 10, pp. 3279-3284, Oct. 2012
10.5012/bkcs.2012.33.10.3279
Hyoung-Juhn Kim Hwayong Kim
Vol. 33, No. 10, pp. 3279-3284, Oct. 2012
10.5012/bkcs.2012.33.10.3279
Theoretical Study of Thiazole Adsorption on the (6,0) zigzag Single-Walled Boron Nitride Nanotube
Ali Varasteh Moradi Ali Ahmadi Peyghan Saeede Hashemian Mohammad T. Baei
Vol. 33, No. 10, pp. 3285-3292, Oct. 2012
10.5012/bkcs.2012.33.10.3285
Vol. 33, No. 10, pp. 3285-3292, Oct. 2012
10.5012/bkcs.2012.33.10.3285
Rate-Product Correlations for the Solvolysis of 5-Nitro-2-Furoyl Chloride
Hojune Choi Han Joong Koh Dildar Ali Kiyull Yang In Sun Koo
Vol. 33, No. 10, pp. 3293-3297, Oct. 2012
10.5012/bkcs.2012.33.10.3293
Vol. 33, No. 10, pp. 3293-3297, Oct. 2012
10.5012/bkcs.2012.33.10.3293
A Multidimensional System for Phosphopeptide Analysis Using TiO2 Enrichment and Ion-exchange Chromatography with Mass Spectrometry
Kun Cho Jisun Yoo Eunmin Kim Jin Young Kim Young Hwan Kim
Han Bin Oh Jong Shin Yoo
Vol. 33, No. 10, pp. 3298-3302, Oct. 2012
10.5012/bkcs.2012.33.10.3298
Han Bin Oh Jong Shin Yoo
Vol. 33, No. 10, pp. 3298-3302, Oct. 2012
10.5012/bkcs.2012.33.10.3298
Single-Crystal Structures of Li+-exchanged Zeolite X (FAU, Si/Al = 1.09) from Aqueous Solution Depends on Ion-exchange Temperatures at 293 and 333 K
Hu Sik Kim Seong Oon Ko Woo Taik Lim
Vol. 33, No. 10, pp. 3303-3310, Oct. 2012
10.5012/bkcs.2012.33.10.3303
Vol. 33, No. 10, pp. 3303-3310, Oct. 2012
10.5012/bkcs.2012.33.10.3303
Extraction of Phthalate Esters in Environmental Water Samples Using Layered-Carbon Magnetic Hybrid Material as Adsorbent Followed by Their Determination with HPLC
Weina Wang Qiuhua Wu Xiaohuan Zang Chun Wang Zhi Wang
Vol. 33, No. 10, pp. 3311-3316, Oct. 2012
10.5012/bkcs.2012.33.10.3311
Vol. 33, No. 10, pp. 3311-3316, Oct. 2012
10.5012/bkcs.2012.33.10.3311
Synthesis, Structure and Thermal Properties of Bifurazano[3,4-b:3',4'-f ]furoxano[3'',4''-d]oxacyclohetpatriene (BFFO)
Yanshui Zhou Kangzhen Xu Bozhou Wang Hang Zhang Qianqian Qiu
Fengqi Zhao
Vol. 33, No. 10, pp. 3317-3320, Oct. 2012
10.5012/bkcs.2012.33.10.3317
Fengqi Zhao
Vol. 33, No. 10, pp. 3317-3320, Oct. 2012
10.5012/bkcs.2012.33.10.3317
mPW1PW91 Study of Complexation of Alkali Metal Ions with Mixed [2 + 2’] Calix[4]aryl Derivatives
Particle Size Effect: Ru-Modified Pt Nanoparticles Toward Methanol Oxidation
Sechul Kim Ting Zhang Jin-Nam Park Choong Kyun Rhee Hojin Ryu
Vol. 33, No. 10, pp. 3331-3337, Oct. 2012
10.5012/bkcs.2012.33.10.3331
Vol. 33, No. 10, pp. 3331-3337, Oct. 2012
10.5012/bkcs.2012.33.10.3331
A DFT Study on CO2 Interaction with a BN Nano-Cage
Mohammad T. Baei Ali Ahmadi Peyghan Zargham Bagheri
Vol. 33, No. 10, pp. 3338-3342, Oct. 2012
10.5012/bkcs.2012.33.10.3338
Vol. 33, No. 10, pp. 3338-3342, Oct. 2012
10.5012/bkcs.2012.33.10.3338
DFT/B3LYP Study to Investigate the Possible Ways for the Synthesize of Antioxidants with High Efficiency Based on Vitamin E
Meysam Najafi Mohammad Najafi Houshang Najafi
Vol. 33, No. 10, pp. 3343-3348, Oct. 2012
10.5012/bkcs.2012.33.10.3343
Vol. 33, No. 10, pp. 3343-3348, Oct. 2012
10.5012/bkcs.2012.33.10.3343
Impedance and Thermodynamic Analysis of Bioanode, Abiotic Anode, and Riboflavin-Amended Anode in Microbial Fuel Cells
Sokhee Jung Young-Ho Ahn Sang-Eun Oh Junho Lee Kyu Taek Cho
Youngjin Kim Myeong Woon Kim Joonmok Shim Moonsung Kang
Vol. 33, No. 10, pp. 3349-3354, Oct. 2012
10.5012/bkcs.2012.33.10.3349
Youngjin Kim Myeong Woon Kim Joonmok Shim Moonsung Kang
Vol. 33, No. 10, pp. 3349-3354, Oct. 2012
10.5012/bkcs.2012.33.10.3349
Photovoltaic Efficiencies on Dye-Sensitized Solar Cells Assembled with Graphene-Linked TiO2 Anode Films
A-Young Kim Jieun Kim Min Young Kim Seung Won Ha Ngyen Thi Thuy Tien
Misook Kang
Vol. 33, No. 10, pp. 3355-3360, Oct. 2012
10.5012/bkcs.2012.33.10.3355
Misook Kang
Vol. 33, No. 10, pp. 3355-3360, Oct. 2012
10.5012/bkcs.2012.33.10.3355
Synthesis, Antioxidant Activity and Fluorescence Properties of Novel Europium Complexes with (E)-2- or 4-hydroxy-N'-[(2-hydroxynaphthalen-1- yl)methylene]benzohydrazide Schiff Base
Lijun Liu Mohammad Sayed Alam Dong-Ung Lee
Vol. 33, No. 10, pp. 3361-3367, Oct. 2012
10.5012/bkcs.2012.33.10.3361
Vol. 33, No. 10, pp. 3361-3367, Oct. 2012
10.5012/bkcs.2012.33.10.3361
Enhanced Gas Sensing Properties of Bi2O3-Core/In2O3-Shell Nanorod Gas Sensors
Sunghoon Park Soyeon An Hyunsung Ko Changhyun Jin Chongmu Lee
Vol. 33, No. 10, pp. 3368-3372, Oct. 2012
10.5012/bkcs.2012.33.10.3368
Vol. 33, No. 10, pp. 3368-3372, Oct. 2012
10.5012/bkcs.2012.33.10.3368
Reusable and Efficient Polystryrene-supported Acidic Ionic Liquid Catalyst for Mononitration of Aromatic Compounds
Li Xia Li Qi Long Ling Zu Liang Liu Xiao Dong Xing Xiao Qin Zhu
Xiao Meng
Vol. 33, No. 10, pp. 3373-3377, Oct. 2012
10.5012/bkcs.2012.33.10.3373
Xiao Meng
Vol. 33, No. 10, pp. 3373-3377, Oct. 2012
10.5012/bkcs.2012.33.10.3373
Fabrication of a Superhydrophobic Surface with Adjustable Hydrophobicity and Adhesivity Based on a Silica Nanotube Array
Preparation of SnS Thin Films by MOCVD Method Using Single Source Precursor, Bis(3-mercapto-1-propanethiolato) Sn(II)
Jongpil Park Miyeon Song Won Mok Jung Won Young Lee Jinho Lee
Hanggeun Kim Il-Wun Shim
Vol. 33, No. 10, pp. 3383-3386, Oct. 2012
10.5012/bkcs.2012.33.10.3383
Hanggeun Kim Il-Wun Shim
Vol. 33, No. 10, pp. 3383-3386, Oct. 2012
10.5012/bkcs.2012.33.10.3383
Separation of Two Amino Acids by Microemulsion Bulk Liquid Membrane
Alireza Salabat Fereshteh Dehghani Sanij
Vol. 33, No. 10, pp. 3387-3390, Oct. 2012
10.5012/bkcs.2012.33.10.3387
Vol. 33, No. 10, pp. 3387-3390, Oct. 2012
10.5012/bkcs.2012.33.10.3387
Extracting Frequency-Frequency Correlation Function from Two-Dimensional Infrared Spectroscopy: Peak Shift Measurement
Growth Mechanism and Crystal Ordering of Spherulitic Patterns in a Belousov-Zhabotinsky Type Reaction System
Narendra Yadav S. S. Majhi P. K. Srivastava
Vol. 33, No. 10, pp. 3397-3406, Oct. 2012
10.5012/bkcs.2012.33.10.3397
Vol. 33, No. 10, pp. 3397-3406, Oct. 2012
10.5012/bkcs.2012.33.10.3397
Improved Photolysis of Water from Ti Incorporated Double Perovskite Sr2FeNbO6 Lattice
P. H. Borse C. R. Cho S. M. Yu J. H. Yoon T. E. Hong
J. S. Bae E. D. Jeong H. G. Kim
Vol. 33, No. 10, pp. 3407-3412, Oct. 2012
10.5012/bkcs.2012.33.10.3407
J. S. Bae E. D. Jeong H. G. Kim
Vol. 33, No. 10, pp. 3407-3412, Oct. 2012
10.5012/bkcs.2012.33.10.3407
Synthesis of an Environmentally Friendly Phenol-Free Resin for Printing Ink
Young Baeck Ha Ming Yu Jin Sung Sang Oh Do Hyun Ryu
Vol. 33, No. 10, pp. 3413-3416, Oct. 2012
10.5012/bkcs.2012.33.10.3413
Vol. 33, No. 10, pp. 3413-3416, Oct. 2012
10.5012/bkcs.2012.33.10.3413
Synthesis and Antiviral Activity of 3-Aminoindole Nucleosides of 2-Acetamido-2-deoxy-D-glucose
Adel A.-H. Abdel-Rahman Mona M. Abd El-Latif Farag A. El-Essawy Yousif A. Barakat
Vol. 33, No. 10, pp. 3417-3422, Oct. 2012
10.5012/bkcs.2012.33.10.3417
Vol. 33, No. 10, pp. 3417-3422, Oct. 2012
10.5012/bkcs.2012.33.10.3417
Dielectric Study of Allyl Chloride with 2-Pentanone and 2-Hexanone in Microwave Frequency Range
Yuvraj Sudake Siddharth Kamble Aruna Maharolkar Sunil Patil Prakash Khirade
Suresh Mehrotra
Vol. 33, No. 10, pp. 3423-3426, Oct. 2012
10.5012/bkcs.2012.33.10.3423
Suresh Mehrotra
Vol. 33, No. 10, pp. 3423-3426, Oct. 2012
10.5012/bkcs.2012.33.10.3423
Synthesis and Structural Determination of Temocapril Sulfoxide Hydrochlorides
Seok Bong Seong Jong Taik Moon Jungahn Kim Dong Joon Choo Jae Yeol Lee
Vol. 33, No. 10, pp. 3427-3429, Oct. 2012
10.5012/bkcs.2012.33.10.3427
Vol. 33, No. 10, pp. 3427-3429, Oct. 2012
10.5012/bkcs.2012.33.10.3427
N-Heterocyclic Carbene-Tricyclohexylphosphine Palladium(II) Complex: Synthesis, Crystal Structure and Application in Suzuki Reaction of Aryl Chlorides
Chen Xu Xin-Qi Hao Zhen Li Lu-Meng Duan Zhi-Qiang Wang
Bao-Ming Ji Mao-Ping Song
Vol. 33, No. 10, pp. 3430-3432, Oct. 2012
10.5012/bkcs.2012.33.10.3430
Bao-Ming Ji Mao-Ping Song
Vol. 33, No. 10, pp. 3430-3432, Oct. 2012
10.5012/bkcs.2012.33.10.3430
Red Fluorescent DCM Derivatives with the Bulky-substituents on Pyran and Julolidine Moieties for Organic Light-Emitting Diodes (OLEDs)
Kum Hee Lee Young Kwan Kim Seung Soo Yoon
Vol. 33, No. 10, pp. 3433-3436, Oct. 2012
10.5012/bkcs.2012.33.10.3433
Vol. 33, No. 10, pp. 3433-3436, Oct. 2012
10.5012/bkcs.2012.33.10.3433
Pyridinolysis of Phenyl N-Phenyl Phosphoramidochloridate in Acetonitrile
Md. Ehtesham Ul Hoque Hai Whang Lee
Vol. 33, No. 10, pp. 3437-3440, Oct. 2012
10.5012/bkcs.2012.33.10.3437
Vol. 33, No. 10, pp. 3437-3440, Oct. 2012
10.5012/bkcs.2012.33.10.3437
Pyridinolysis of Dipropyl Chlorophosphate in Acetonitrile
Md. Ehtesham Ul Hoque Hai Whang Lee
Vol. 33, No. 10, pp. 3441-3444, Oct. 2012
10.5012/bkcs.2012.33.10.3441
Vol. 33, No. 10, pp. 3441-3444, Oct. 2012
10.5012/bkcs.2012.33.10.3441
New Titanium-Based Catalysts for the Synthesis of Poly(ethylene terephthalate)
Young-Keun Yang Seung-Woong Yoon Yong-Taek Hwang Bo-Geun Song
Vol. 33, No. 10, pp. 3445-3447, Oct. 2012
10.5012/bkcs.2012.33.10.3445
Vol. 33, No. 10, pp. 3445-3447, Oct. 2012
10.5012/bkcs.2012.33.10.3445
Methanolysis of 7,7,8,8-Tetracyanoquinodimethane: A Consequence of an Initial Charge Transfer Complexation
Synthesis of Dendrimer Containing Carbazole Unit as a Core Chromophore
Seung Choul Han Sung-Ho Jin Jae Wook Lee
Vol. 33, No. 10, pp. 3451-3454, Oct. 2012
10.5012/bkcs.2012.33.10.3451
Vol. 33, No. 10, pp. 3451-3454, Oct. 2012
10.5012/bkcs.2012.33.10.3451
Two New Alkaloids from the Rhizomes of Sinomenium acutum
Seung Young Lee Kyun Lee Jong Eel Park Ju Yeoun Oh Kang Ro Lee
Vol. 33, No. 10, pp. 3455-3457, Oct. 2012
10.5012/bkcs.2012.33.10.3455
Vol. 33, No. 10, pp. 3455-3457, Oct. 2012
10.5012/bkcs.2012.33.10.3455
Immobilization of Enzyme on Hydrophobic Room Temperature Solid-Phase Ionic Liquids and Its Use for Biocatalytic Transesterification in Organic Solvent: Remarkably Enhanced Activity of Lipase
Chemical Constituents of the Ficus elastica Leaves and Their Antioxidant Activities
Phan Van Kiem Chau Van Minh Nguyen Xuan Nhiem Bui Huu Tai Tran Hong Quang
Hoang Le Tuan Anh Nguyen Xuan Cuong Truong Nam Hai Seung Hyun Kim Jin Kyoung Kim
Hae-Dong Jang Young Ho Kim
Vol. 33, No. 10, pp. 3461-3464, Oct. 2012
10.5012/bkcs.2012.33.10.3461
Hoang Le Tuan Anh Nguyen Xuan Cuong Truong Nam Hai Seung Hyun Kim Jin Kyoung Kim
Hae-Dong Jang Young Ho Kim
Vol. 33, No. 10, pp. 3461-3464, Oct. 2012
10.5012/bkcs.2012.33.10.3461
3,9-Dithia-6-azaundecane-appended Iridium (III) Complex for the Selective Detection of Hg2+ in Aqueous Acetonitrile
Jee Hye Ann Yinan Li Myung Ho Hyun
Vol. 33, No. 10, pp. 3465-3468, Oct. 2012
10.5012/bkcs.2012.33.10.3465
Vol. 33, No. 10, pp. 3465-3468, Oct. 2012
10.5012/bkcs.2012.33.10.3465
New Si-Based Material with Pyridopyrazine Substituents
So Min Park Kang Hui Jun Yun Ran Kim Sang Young Nam
Jaeyoung Hwang Yun-Hi Kim
Vol. 33, No. 10, pp. 3469-3472, Oct. 2012
10.5012/bkcs.2012.33.10.3469
Jaeyoung Hwang Yun-Hi Kim
Vol. 33, No. 10, pp. 3469-3472, Oct. 2012
10.5012/bkcs.2012.33.10.3469
CdSe Nanowire/Fullerene Nanocomposite Photoelectrode: Charge Separation and Photoelectrochemical Behavior
Ayoung Kim Jihee Lee Eun Joo Lee Jin Ho Bang
Vol. 33, No. 10, pp. 3473-3476, Oct. 2012
10.5012/bkcs.2012.33.10.3473
Vol. 33, No. 10, pp. 3473-3476, Oct. 2012
10.5012/bkcs.2012.33.10.3473
Photodecarboxylative Cyclizations of ω-Phthalimido-para-phenoxy Carboxylates
Ae Rhan Kim Hyun-Seung Cho Youn-Sik Lee Dong Jin Yoo
Vol. 33, No. 10, pp. 3477-3480, Oct. 2012
10.5012/bkcs.2012.33.10.3477
Vol. 33, No. 10, pp. 3477-3480, Oct. 2012
10.5012/bkcs.2012.33.10.3477
Comparative Studies on Enantiomer Resolution of α-Amino Acids and Their Esters Using (18-Crown-6)-tetracarboxylic acid as a Chiral Crown Ether Selector by NMR Spectroscopy and High-Performance Liquid Chromatography
Eunjung Bang Jing Yu Jin Joon Hee Hong Jong Seong Kang Weontae Lee
Wonjae Lee
Vol. 33, No. 10, pp. 3481-3484, Oct. 2012
10.5012/bkcs.2012.33.10.3481
Wonjae Lee
Vol. 33, No. 10, pp. 3481-3484, Oct. 2012
10.5012/bkcs.2012.33.10.3481
Optimization of Solvent for the Determination of Polybrominated Diphenyl Ethers in High-Impact Polystyrene by GC/ECD
Dalho Kim Seungjin Park Yongwook Choi Sung Kwang Lee
Vol. 33, No. 10, pp. 3485-3488, Oct. 2012
10.5012/bkcs.2012.33.10.3485
Vol. 33, No. 10, pp. 3485-3488, Oct. 2012
10.5012/bkcs.2012.33.10.3485
Facile Synthesis of BaWO4 Sub-Micron Sized Octahedron via a Microemulsion Method
Anomalous Acid-Base Equilibria in Biologically Relevant Water Nanopools
Sun-Young Park Byung Kuk Yoo Ji-Young Pyo Myung Soo Kim Du-Jeon Jang
Vol. 33, No. 10, pp. 3493-3496, Oct. 2012
10.5012/bkcs.2012.33.10.3493
Vol. 33, No. 10, pp. 3493-3496, Oct. 2012
10.5012/bkcs.2012.33.10.3493
Enantiomeric Separation of 1-(Benzofuran-2-yl)alkylamines on Chiral Stationary Phases Based on Chiral Crown Ethers
Soohyun Park Sang Jun Kim Myung Ho Hyun
Vol. 33, No. 10, pp. 3497-3500, Oct. 2012
10.5012/bkcs.2012.33.10.3497
Vol. 33, No. 10, pp. 3497-3500, Oct. 2012
10.5012/bkcs.2012.33.10.3497
Convergent Synthesis of PAMAM Dendrimers Containing Tetra(ethyleneoxide) at Core Using Click Chemistry
Seung Choul Han Ji Hyeon Kim Jae Wook Lee
Vol. 33, No. 10, pp. 3501-3504, Oct. 2012
10.5012/bkcs.2012.33.10.3501
Vol. 33, No. 10, pp. 3501-3504, Oct. 2012
10.5012/bkcs.2012.33.10.3501
Inhibition of DUSP13B Activity by NSC 663284
In-Seon Lee Anna Ju Sayeon Cho
Vol. 33, No. 10, pp. 3505-3507, Oct. 2012
10.5012/bkcs.2012.33.10.3505
Vol. 33, No. 10, pp. 3505-3507, Oct. 2012
10.5012/bkcs.2012.33.10.3505